
第一作者:Xue Cai
通讯作者:Caiping Zhang, Weihan Li
通讯单位:北京交通大学,德国亚琛工业大学
使用设备:元能科技SWE2110(1T常温膨胀测试系统)
01 研究背景
随着电动汽车和电化学储能的广泛应用,锂离子电池因其高能量密度、成本效益和长寿命而备受关注。然而,锂离子电池在发生电化学反应的同时会产生膨胀力和热量,尤其是在组装和叠压等机械限制条件下,从而形成电化学-热-机械的多场耦合行为。表征和量化多场耦合行为需要跨学科的努力。但由于测量的局限性和耦合的复杂性,理解错综复杂的多场行为具有两方面的挑战性。一是:虽然现有的测试平台提供了用于研究电池机械响应和多场耦合行为的实验手段,但这些平台各有优缺点,另一个是错综复杂的多场耦合行为因其高度非线性相互作用关系还未被充分地解耦分析。因此,本文综合利用不同机械约束平台的优势,开发了原位定量分析方法,以揭示多场耦合的作用机制,量化不同物理场之间的关联性和耦合强度。这些研究成果将为优化结构设计和改善电池性能提供重要依据。
02 工作简介
近日,北京交通大学联合德国亚琛工业大学团队设计了一系列机械约束实验, 其中包括自由膨胀(图1(a)),恒位移(图1(b))和元能科技SWE2110恒压力模式(图1(c)),并引入了原位分析框架,以阐明多物理场之间复杂的相互作用机制和耦合度。所提出的分析框架整合了等效模型参数化、原位力学分析和耦合行为的定量评估。结果表明,在低温条件下,压力对阻抗的显著影响主要来自扩散控制步骤,并通过施加外部压力(如 10 °C 时的 180 至 240 kPa)以改善电池的动力学性能。电化学反应控制步骤的多样性说明了压力在不同温度下对电池性能的不同影响。热膨胀率表明,在充电过程中,升高每单位温度下膨胀力变化小于1.60%。通过引入复合评价指标,我们量化了特征参数和物理场之间的耦合相关性和强度,发现了电化学-热场之间的最高耦合度。这些结果凸显了分析方法在揭示多场相互作用机制方面的潜力,其目标是提高电池性能和优化结构设计。
03 内容表述
锂离子电池涉及不同学科和非线性耦合行为,分析多场问题显然是错综复杂的。在本研究中,我们提出了图 1 所示的原位定量分析框架,旨在全面解决这些复杂的非线性耦合分析问题。针对机械约束下无法测量的电池温度,我们结合三个机械平台,精心设计了一个综合实验矩阵,为多场模型参数化和机械特性曲线分析提供数据支持。首先,为了定量评估不同场之间错综复杂的相互作用,我们使用等效电路、机械和热模型对耦合行为进行了可视化和参数化(图1(d)),这为直观量化特征参数与物理场之间的多场耦合提供了重要依据。虽然热效应对机械行为的影响是通过单向耦合方法来探索的,但其他物理场之间的相互作用则需要采用双向耦合策略。随后,为了进一步研究温度和压力对机械行为的影响,我们开发了一种使用差分电压和膨胀分析的原位机械表征方法(图1(e))。通过这种方法,我们可以将膨胀峰与特定的相变相关联,从而探索机械行为变化的电化学特性。此外,我们还引入了一种综合指标,将最大信息系数 (MIC) 和最大速率变化 (MRC) 结合起来,以定量评估特征参数与物理场之间的耦合相关性和强度(图1(f))。本研究强调了这一框架在指导多场耦合问题的实验设计,以消除相互作用,并创建专门应对多场耦合挑战的模型。

图1.基于机械约束平台所提出的原位定量分析架构
为进一步揭示电池外部性能变化的内部电化学机理,图2显示了不同温度下电池热力学和动力学参数随外部压力变化的情况。活性材料颗粒的热膨胀会促进颗粒、粘结剂和导电材料之间的紧密连接。由于不存在空隙,这导致电子阻抗在压力增加时保持不变。相反,在 10 °C时,这些连接松散的微粒会因真空的消除而导致电子阻抗随压力增加而减小。在这种情况下,应力引起的电子阻抗变化明显大于锂离子阻抗,这表明25 ℃和10 ℃ 下的加压细胞增强了各组分之间的接触状态。在图 2(d 和 e)中,可以观察到在所有温度下,随着压力的增加,界面阻抗参数:Rinterf 会减小,Cinterf 会增大。这表明,活性材料颗粒的表面积随施加的压力而增加,但在 40 ° C 时超过 100 kPa 时表面积会减小,而在 20% SOC 时则小于 50 kPa,这是因为机械损伤(如颗粒嵌入集流器或二次颗粒融合)导致活性材料表面积减小[54]。因此,考虑到整个 SOC 范围,活性表面积最大化(即界面阻抗最小化)的最佳压力集中在 40 °C 时 50 至 100 kPa、25 °C 时 100 kPa 和 10 °C 时 240 kPa 的范围内,这为缓冲层支撑电池的长寿命运行提供了有力的理论依据。在图 2(f-h)中,低频阻抗由电解质和活性颗粒内部的离子扩散组成。由于孔隙率降低,扩散阻抗Rd,1 在 25 和 40 °C 时随应力增加,而在 10 °C 时则下降,这因于 10 °C 时的扩散系数与应力引起的电解质粘度甚至凝固之间的相关性,这意味着在低温条件下,压力对电池阻抗性能的影响非常明显。液相扩散是低温性能的关键控制步骤[56],有助于通过施加外部压力改善动力学。根据电池电化学原理,电化学反应控制步骤的变化可有效解释不同温度下的不同效应。压力诱导的动力学演变机制和热力学中电极容量的变化规律,揭示了10 °C下通过施加压力使得电池1.5C容量增加和极化电压下降的本质原因来源于压力诱导扩散控制步骤。

图2.(a) EIS 的奈奎斯特图。(b) 压力对电化学特性的影响示意图。在低堆叠应力条件下,从初始值(R0)算起的电阻是通过比较计算得出的。(c) 欧姆电阻。(d) 表面电阻。(e) 表面间电容。(f) 电解质扩散阻力和 (g) 电容。(h) 其他扩散阻力。应力引起的热力学参数。热力学参数包括 (i) 负极和 (j) 正极的初始锂化状态,(k) 负极和 (l) 正极容量
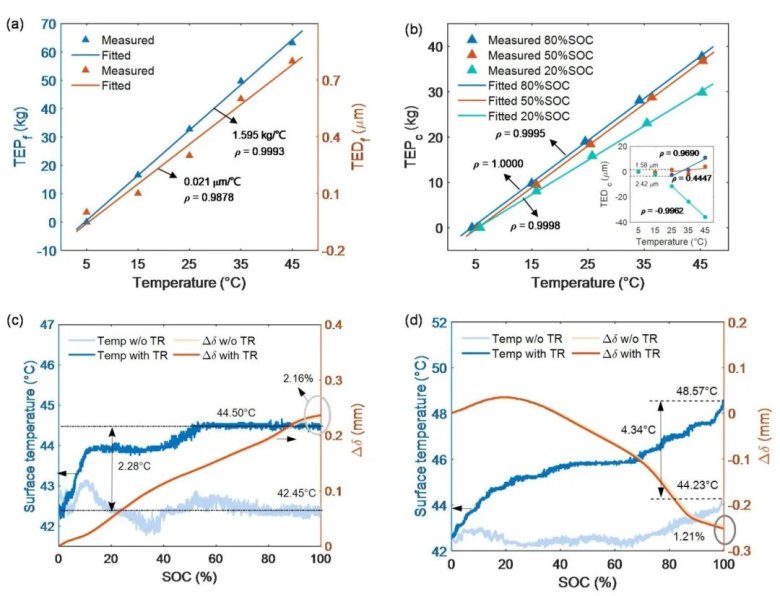
图 3(b)中的电池热膨胀力 TEPc 与温度呈线性相关,热膨胀系数αTEP 随 SOC 的增加而增加,范围为 0.70 至 0.87 kPa/°C。为了分析热膨胀应力的大小,我们提出了一个新参数 λTEP 来表示 25 °C 时 αTEP与嵌锂所诱导膨胀力Δσs 的比值。λTEP 的变化小于1.60%,表明 10 °C 的 TR 导致的压力变化小于 16%。图3(b)表明当电极层之间的间隙被填充到 25 °C以上时,电池的热膨胀随温度线性增减。然而,在 20% SOC 时观察到了与热膨胀位移 TEDc 和 TEPc 相反的趋势,这表明由于电极之间接触状态的不同,机械限制可能会导致不同的实验结果。此外,为了进一步分析实际电池运行中的热膨胀程度及其与 SOC 的相关性,我们设计了产生或不产温升 TR 的 1 C 充电和 1.5 C 放电膨胀试验。如图 3(c 和 d)所示,充电结束时 2.28% 的 TR 导致膨胀增加 2.16%,而放电结束时 1.21% 的 TR 导致膨胀减少 4.34%。这些结论为理解热机械耦合行为提供了基础,并阐明了在机械限制条件下进行实验设计的必要性。

图3.热膨胀特性分析。(a) 组合夹具和传感器的热膨胀压力。(b) 电池在 20%、50% 和 80% SOC 时的热膨胀压力和位移。(c) 1 C 充电和(d) 1.5 C 放电时,有TR和无TR的温度和膨胀厚度变化。
在多场耦合问题中,由于耦合关系的复杂性和多样性,必须进一步量化两个场之间的相关性和依赖性程度。图 4(a)至(d)显示了特征参数与温度T 和压力σ等物理场之间的归一化MIC和 MRC。在图 11(a)中,除Q+max外,所有电化学参数的温度相关性都大于 0.6 Temp@MIC,但机械参数与温度的相关性最弱。在图 11 (c) 中,一个有趣的现象是所有机械参数都与压力高度相关,而压力与电化学参数之间的 Pres@MIC 却小于 0.6。虽然基于 MIC 的相关性评估表明这两个领域之间存在某种联系,但其相互作用的程度尚未确定,而这正是评估电池性能可靠性和估算算法鲁棒性的关键。对于耦合强度分析,如图 11(b)所示,Temp@MRC 的温度诱导特征参数表明改善电解液的温度特性和固液反应界面的活性面积是提高电池容量和功率性能的有效途径。Pres@MRC的压力诱导的机械参数表明Δδ 具有较低的温度和压力灵敏度,而 Δσ 则具有较高的压力灵敏度和适中的温度灵敏度。在实际应用中,压力信号比精度低的应变传感器更容易获得。因此,建立以压力为输入、应变为输出的高精度机械模型更为合理,有助于实现电池早期故障的在线诊断。在电池运行过程中,电池的热电耦合比其他两场耦合更为强烈。这一结论有助于设计解耦实验和开发多场耦合建模方法,从而确保电动汽车实际运行过程中 BMS 功能的可靠性。

图4.(a) 温度诱导参数的归一化 MIC 和 (b) MRC。(c,d)压力诱导参数。参数分为三类:电化学参数、机械参数和热参数。
04 总结与展望
本文提出了机械约束实验与原位定量框架相结合的分析框架。在三种机械约束条件下直接测量了多物理场信号,从而创建了一个全面的表征数据集以揭示多场耦合机制,分离 SOC、温度和压力对机械行为的影响,并量化多物理场之间的耦合度。结果表明,耦合行为与电池电化学特性密切相关。由于关键控制步骤的改变,温度导致了不同程度的压力诱导阻抗的变化以及不同的发热和性能改善效果。与活性表面积密切相关的界面阻抗的变化进一步证明了最佳压力范围与温度的关系, 例如10 ℃ 时 180 至 240 kPa,25 ℃ 时 100 至 150 kPa,40 ℃ 时 50 至 100 kPa。在 20% SOC 的热诱导机械行为中,由于弹性模量随温度升高而增加,机械约束导致了不同程度的热膨胀。在充电过程中,升高每单位温度将产生 1.60% 的膨胀力。通过MIC和MRC的量化结果表明,电化学参数与温度的相关性很高,而机械参数与压力的相关性很强。所有电化学参数对温度的敏感性远高于压力,这表明电化学-热场的耦合度最高。
这项工作凸显了分析程序在可视化和量化多场耦合方面的潜力,为耦合相互作用机制提供了更深入的见解,并为多场模拟提供了解决方案。这些进展将不可避免地指导电池性能的提高和优化结构设计。
X. Cai, C. Zhang, Z. Chen, L. Zhang, D. Uwe Sauer, W. Li, Characterization and quantification of multi-field coupling in lithium-ion batteries under mechanical constraints, Journal of Energy Chemistry (2024),

蔡雪
北京交通大学电气工程学院博士研究生,德国亚琛工业大学联合培养博士研究生。研究方向为机械压力下动力/储能电池性能优化设计和安全管理技术研究。

张彩萍
北京交通大学电气工程学院教授、智能交通绿色低碳技术教育部工程研究中心副主任。长期从事动力/储能电池优化控制与安全管理技术研究,主持多项国家自然科学基金项、国家重点研发计划项目课题。发表SCI期刊论文70余篇,获国家科技进步二等奖、教育部科学技术发明一等奖、国家自然科学优秀青年基金。

Weihan Li
亚琛工业大学 “电池人工智能” 青年研究团队负责人。于2021年与2017年分别获得亚琛工业大学电气工程与信息技术博士学位与汽车工程硕士学位。曾在伦敦帝国理工学院、牛津大学、麻省理工学院、德国大众集团和德国保时捷集团从事研究工作,并获得多项奖项,包括德国联邦教育与研究部的BattFutur Starting Grant、德国埃尔福特科学院的Reichart Prize、德国vgbe基金会创新奖、欧盟电池青年研究奖以及亚琛工业大学创新奖等。
