背 景
在动力电池领域,因整车轻量化和更长的巡航里程的需求,更高的能量密度成为消费者关注的关键指标,对于电芯设计方面提出了更高的要求。在相同的化学体系下,往往可通过优化电芯设计参数来提升能量密度,例如提高极片的压实密度,优化导电剂和电解液配方等。但是压实密度的提高会带来一系列问题,其中包含电解液浸润困难。如不进行一定的设计优化,短期会影响电芯容量和效率发挥,长期则会影响循环寿命和安全可靠性[1-3],因此对极片性能的评估变得尤为重要。
本文通过测试不同压实密度的极片曲折度和浸润速率来探究极片浸润和曲折度的关联性,为电极设计以及优化提供一些新的方法。
1.测试条件&方法
1.1 测试设备
极片曲折度测试:采用元能科技自研的多通道离子电导率测试系统(EIC2400M,IEST)如图1所示,该设备包含4个测试通道,可提供高纯氩氛围,实现多通道对称电池的电化学阻抗谱测试。压力范围10~50Kg,频率范围100KHz~0.01Hz。

图1.多通道离子电导率测试系统
极片电解液浸润测试:采用元能科技自研的电解液浸润性测试系统(ETS1000,IEST)如图2所示,该设备搭载高精度称重系统,可原位表征极片的电解液浸润速率,探究不同极片的浸润效果。同时还可进行裸电芯浸润效果测试、保液量测试等。

图2.电解液浸润性测试系统
1.2 测试样品
不同压密的磷酸铁锂正极片,压密大小为A<B<C。
1.3 测试流程
极片曲折度测试:将样品按照极片-隔膜-极片的顺序放入治具中→关闭设备仓门,对内腔进行抽真空-充高纯氩气,除去内腔中的水分→对各通道进行定量注液→达到浸润时间后,自动测试EIS→最后通过软件的拟合、计算得到极片的曲折度。
极片浸润测试:将极片放置于设备腔体内的挂钩上,再把极片底部浸入电解液约5mm,记录极片重量随时间的变化,测试时间900s。最后对数据进行线性拟合,得到浸润K值。
1.4 计算方法
麦克马林数计算方法:

式中:τ为曲折度;Rion为离子电阻;A为极片面积;ε为极片孔隙率;σ为电解液电导率;d为极片的厚度。由于极片孔隙率的测试方法较为复杂,通常用曲折度和孔隙率的比值,即麦克马林数(Nm = τ / ε)来表征极片的曲折度,如式(2)所示。

利用电化学工作站测试对称电池的阻抗,得到的EIS如图3所示。将Nyquist图中低频线段延长,直至与X轴相交,该交点与高频线段和X轴的交点的差值的3倍即为该极片涂层的离子阻抗Rion。将拟合得到的离子阻抗Rion代入公式(2)中计算可得到极片的麦克马林数,进而分析极片的曲折度。

图3.对称电池的电化学阻抗谱图
浸润系数计算方法:
极片在电解液中的浸润过程,可以理解为毛细管吸收效应。通常用Lucas - Washburn渗透模型来描述极片毛细效应吸液的动力学,如公式(3)所示:

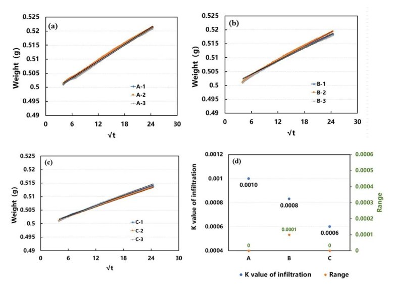
其中h为吸液高度,t为吸液时间,c为不同空隙毛细管对应的形状系数,r为毛细管半径,cr为定值,称为形式半径,σ为液体的表面张力,η为液体粘度。从公式中可以看出液体浸润高度h的平方和吸液时间t成正比,定义h和√t的比率K为浸润速率(公式(4))。极片在浸润过程中重量随时间变化的关系也符合上述公式。
2.结果分析

图4.不同压密正极片对称电池的Nyquist图 A (a) ; B (b) ; C(c)和拟合得到的麦克马林数 (d)
对不同压密的正极片组装对称电池进行电化学阻抗谱测试,结果如图4所示。对EIS图谱进行拟合得到各极片的离子电阻,再将离子电阻值代入公式 (2) ,得到极片麦克马林数,如图4(d)所示。从数据的趋势可以看出,离子电阻和麦克马林数随着极片压密的增加而增加。

图5.不同压密正极片在浸润过程中重量随时间变化的曲线A (a) ; B (b) ; C(c) 和拟合得到的K值 (d)图5为A、B、C三种极片的电解液浸润曲线,对曲线进行线性拟合得到对应的K值,如图5 (d)所示,可以发现随着压实密度的增大,极片的电解液浸润性曲线斜率逐渐减小,即压实密度越大,浸润性越差。结合极片曲折度和浸润的测试结果发现浸润效果越差的极片曲折度越大,说明随着压实密度的增加,颗粒和导电剂颗粒之间的接触更加密实,吸收电解液的性能变差,电解液难以浸润,使锂离子的迁移更加困难,增大了离子传输阻抗,从而导致极片的曲折度增加。本实验说明极片的电解液浸润效果是影响曲折度的重要因素。
总 结
本文测试了不同压密的磷酸铁锂正极片的曲折度和电解液浸润速率,实验数据表明电解液浸润是影响不同压密极片曲折度的重要因素。一般来说在材料允许的压实范围内,极片压实密度越大,单位体积内容纳的活性材料越多,电池的容量就能做的越高。但当极片的压实过高的时候,孔隙率降低,曲折度越大,锂离子传输路径越长,会严重降低电池的倍率性能和循环性能。因此,压实密度对电池设计非常重要。我们可以通过对极片曲折度以及浸润测试去初步表征该极片的性能,从而确定合适的极片设计方案。
参考文献
[1]黄海宁,曹恋.锂电池极片的电解液浸润速率研究[J].电源技术, 2022,46:500-503.
[2]SUO L M, HU Y S, LI H, et al. A new class of solvent-in-salt electrolyte for high-energy rechargeable metallic lithium batteries [J]. Nature Communications, 2013, 4: 1481.
[3]KNOCHEA T, SUREKA F, REINHARTA G. A process model for the electrolyte filling of lithium-ion batteries [J]. Procedia CIRP, 2016, 31: 405-410.
