前 言
锂离子电池是一种摇椅式二次电池,它主要依靠锂离子在正极和负极之间的移动来工作(图1)。在充电过程中,锂离子从正极中脱出,经过电解液嵌入负极。此时,电子通过外电路从正极流向负极,形成电流。放电过程中则相反,锂离子从负极中脱出,经过电解液返回正极,同时电子通过外电路从负极流向正极,产生电流对外供电。因此锂离子的扩散速度和效率直接关系到电池的充/放电倍率、循环寿命和高低温性能等。恒电流间歇滴定法(Galvanostatic Intermittent Titration Technique,GITT)是一种暂态的测量技术,其可以通过电位随时间的变化关系量化锂离子在电极材料中的扩散能力。[1] [2]

图1. 锂离子电池工作原理示意图
恒电流间歇滴定技术(GITT)基本概述
GITT整体测试过程是由一系列“脉冲-恒电流-弛豫”过程组合而成的(图2 )。一组“脉冲-恒电流-弛豫”过程是在一定时间内施加恒定的电流对电池进行充电/放电,而后断开电流同时记录整个过程的电压变化情况,其测试的关键是电流的恒定以及电压的精准。在断开电流后的弛豫阶段,需要让锂离子在活性物质内部进行充分扩散,通过电压与时间的关系进一步计算扩散系数。为了满足GITT方法“扩散过程主要发生在固相材料的表层”的假设,需要对测试条件进行一定的限定:
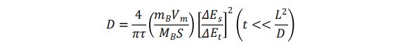
(1)恒电流脉冲的时间t要比较短,并满足t<<L2/D,其中L为材料的特征长度,D为材料的扩散系数。
(2)弛豫时间要足够长,以让Li+在活性物质内部充分扩散并达到平衡状态,可通过电压保持稳定进行判定。

图2. (a) GITT测试曲线和 (b) 局部放大示意图
恒电流间歇滴定技术(GITT)的核心公式
通过GITT测试数据可以进一步计算相应的扩散系数,具体公式如下:

其中D为锂离子扩散系数,mB为活性物质的质量,Vm为电极材料的摩尔体积,MB是材料的相对分子质量,S为电极与电解液接触的有效表面积,τ为弛豫时间,ΔEt为充/放电过程电池电压的变化,ΔEs弛豫阶段的电压变化,t为脉冲时间,L为电极的厚度。将对应材料的物性参数以及每组“脉冲-弛豫” 单元内的∆Es和∆Et代入公式即可得到锂离子的扩散系数。一般测试时,得到的电压变化数值不仅仅包含表面扩散的数值,还包含体现SOC变化导致的电压变化。理论上通过降低脉冲时间的方法可以提高GITT的测试精度,但是随着脉冲时间的变小,∆Es的变化会变得很小,这就需要高测量精度的设备,从而降低噪声。元能科技自研的充放电设备可配置8个万一精度的测试通道,从而获得更为精准的测试结果。
实用案例
1、不同SOC状态下的锂离子扩散系数
作者通过GITT测试研究LiNi0.8Co0.1Mn0.1O2(NCM811)充放电过程中锂离子扩散系数的变化[3] 。不同SOC状态下,锂离子扩散系数DLi+的值变化明显。在充电过程中DLi+的值为10-8~10-9cm2 s-1,在放电过程中DLi+的值为10-7~10-11cm2 s-1。在充电初期,DLi+随着锂离子的释放而增加,在锂含量为~0.5时达到最大值,随后逐渐降低。当锂含量低于0.2时,扩散系数迅速下降。另外,在放电过程中,初期DLi+极高;之后该数值略有下降,并随着锂离子的插入而保持在较高水平。当锂离子嵌入含量达到0.8时,DLi+急剧下降3个数量级。这种极低的锂离子嵌入动力学解释了第一个循环的容量损失。

图3. NCM811的首圈GITT曲线和Li离子扩散系数
2、材料改性对离子扩散系数的影响
作者在NASICON结构Na3V2(PO4)3(NVP)中引入高熵元素(Cr、Mn、Fe、Zn、Al)获得Na3V1.8(CrMnFeZnAl)0.2(PO4)3(HE-NVP-0.2),以实现材料的晶体结构调整和扩散能力的提升[4]。如图4a和4b所示,GITT结果表明引入高熵元素后HE-NVP-0.2电极表现出更为优异的Na离子扩散动力学。将NVP和HE-NVP-0.2分别组装为半电池后测试倍率性能可知,HE-NVP-0.2 的倍率性能明显优于NVP样品(图4c)。

图4.(a) NVP和 (b) HE-NVP-0.2的 GITT曲线和对应的Na离子扩散系
总 结
锂离子在活性物质内的扩散行为反映了电池的微观动力学性能,也极大影响着电池的综合表现。对不同充放电深度的电化学反应进行分段研究,可以有效找到各阶段影响电池极化的关键因素。GITT可以有效测定锂离子的扩散系数D,进而对电池的动力学过程进行研究。
基于GITT对锂离子电池研究的重要性,元能科技自主研发了一款高精度电化学性能分析仪,将GITT测试集合到常规的充放电设备中,将工步模板化,设置简单,操作方便,提高测试效率。该设备还集成了CV(循环伏安)、EIS(电化学阻抗)和LSV(线性扫描伏安法)等模块以便于研发人员能够快速进行相关的电化学性能研究(图5)。并且,元能电化学分析仪配备先进的数据处理和分析软件,能够对复杂的电化学数据进行实时处理和多维分析。

图5. 元能科技-电化学性能分析仪及工步预览
参考文献
[1] Nickol A, Schied T, Heubner C, et al. GITT analysis of lithium insertion cathodes for determining the lithium diffusion coefficient at low temperature: challenges and pitfalls[J]. Journal of The Electrochemical Society, 2020, 167(9): 090546.
[2] Tang K , Yu X , Sun J ,et al.Kinetic analysis on LiFePO4 thin films by CV, GITT, and EIS[J].Electrochimica Acta, 2011, 56(13):4869-4875.
[3] Hong C, Leng Q, Zhu J, et al. Revealing the correlation between structural evolution and Li+ diffusion kinetics of nickel-rich cathode materials in Li-ion batteries[J]. Journal of materials chemistry A, 2020, 8(17): 8540-8547.
[4] Zhou Y, Xu G, Lin J, et al. A Multicationic-Substituted Configurational Entropy-Enabled NASICON Cathode for High-Power Sodium-Ion Batteries[J]. Nano Energy, 2024: 109812.
