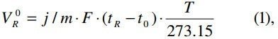
反气相色谱法提供了一种快速准确的方法来测量不同浓度和温度范围内的吸附热。此 外,IGC还允许在不同相对湿度下研究该参数。本文叙述了辛烷值在无限稀释和两种不同湿度下微晶纤维素上解吸热的测定。 引言 吸附热是直接衡量固体分子与吸附在其表面的气体分子之间相互作用强度的指标。这个参数通常是通过吸附等温线测量浓度得到的。在这种情况下,它可以通过克劳修 斯-克拉佩龙方程或通过BET拟合的C常数来计算。IGC提供了一种快速和简单的方法, 直接从任何浓度的保留体积计算热吸附值。在无限稀释条件下,IGC是唯一可靠的方 法,因为它不需要对数据进行外推[1]。本研究采用微晶纤维素作为吸附剂。除了在造 纸工业中使用外,这种材料也是各种医药和食品的常见原料。本文应用IGC法测定了 辛烷在两种不同相对湿度下微晶纤维素上的解吸热。 理论 式中,T为柱温,m为样品质量,F为1atm和273.15K处的出口流速,tR为吸附探针停留 时间,t0为流动相保留时间(死时间)。j为James-Martin修正量,修正柱床压降保留时间。 在亨利定律区域内,净保留体积与吸附热微分关系如关系式(3)所示。 ln VN / T = -DH A / RT + C (3) 假设吸附焓与温度无关。在这些条件下,从lnVN/T与1/T的曲线可以得到吸附热[2]。实验 用微晶纤维素(MCC), Avicel PH-101填充空IGC柱(2mm ID, 30 cm长度的SMS标准柱)。所有的吸附实验都在SMS - iGC2000上进行。测量辛烷值的条件温度为302 - 316k,湿度为0%和50%RH。在测量之前,在初始温度和相对湿度下进行预处理10小时。 结果 图1显示了30℃-46℃,0%和50%RH样品柱中MCC样品对正辛烷的吸附热图。 图1. 30℃-46℃,0%和50%RH正辛烷与MCC吸附热图和拟合直线 吸附热的计算是用iGC Analysis软件1.1版完成的。在0% RH下,一系列测量的平均值为47.77 kJ/Mol,在50% RH下为32.90 kJ/Mol。随着相对湿度的增加,解吸热的下降与Katz和Gray[3]对玻璃纸上不同相对湿度下表面能测量的趋势一致。在低RH时,它们获得恒定的表面能,而在高RH时,这些值明显较小。这种效应可能是由表面形成的水团而不是由单层吸附形成造成的。该簇仍然允许烷烃探针分子与表面分散中心之间的相互作用。在很高的RH下,团簇会变得很大,从而阻碍了色散相互作用,表面能和吸附热就会下降。这一理论得到的解吸热和冷凝热的值(辛烷38.58 kJ/Mol)的支持。通常冷凝热要小于吸附热。然而,在高RH下,固体表面的大部分被水团簇覆盖,因此,主要的相互作用将与辛烷值和水的混合热的大小相似,预计相对较小。 结论 IGC被证明是一种测量不同相对湿度下的吸附热的有用技术。结合其他数据,这些测量结果甚至可以用来获得关于表面和吸附剂之间相互作用的性质的信息。 参考文献 [1] Kiselev, A.V. and Yashin,Y.A., Gas Adsorption Chromatography, Plenum, New York, 1969. [2] Condor, J.R. and Young, C.L., Physicochemical Measurement by Gas Chromatography, John Wiley and Sons, Chichester, 1979. [3] Katz, S. and Gray, D.G., Journal of Colloid and Interface Science 82 (1981), 339/ [4] CRC Handbook of Chemistry and Physics, 57th edition 1976, CRC Press, Cleveland.


方案案例
