随着商业化动力电池的迅猛发展,对电芯生产的一致性要求也越来越严苛。粉末材料作为制作电芯的重要成分,其稳定性要求也相应提高。电阻率是粉末样品重要的一个参数,也是电芯厂家最为关注的参数之一,长期监控粉末材料的电阻率变化有利于观察样品受环境影响情况,实时了解样品的稳定性。我们使用FDM-1650产品,每天对磷酸铁锂的电阻率数据进行收集,通过一段时间的数据对比,可以了解到磷酸铁锂短期内受环境影响情况,实现对样品的稳定性监控。

Ø测试方案:
测试样品:磷酸铁锂;
测试原理:两探针模式;
测试参数:实验面积132.73mm2,样品量0.6g,采用变压模式进行测试,测试压强范围:10-350MPa,压强步进20MPa,保压时间10S。
测试频次:每天测试一组,连续测试7天。
Ø测试结果分析:
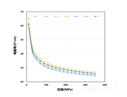
图1 磷酸铁锂一周电阻率监控
表 1磷酸铁锂一周监控

如上图表所示,磷酸铁锂的电阻率在测试中随着压强的增大而减小,350MPa时电阻率约为25.9942 Ω*cm(平均值)。在为期7天的测试中,样品电阻率变化趋势一致,计算电阻率的COV,COV值小于4.5%。
由此可知,磷酸铁锂粉末在短期内稳定性好。
Ø结论
通过采用FDM-1650系列产品对磷酸铁锂粉末进行电阻率测试,观察磷酸铁锂粉末在七天测试中电阻率的变化情况,从数据对比可以推断出磷酸铁锂粉末的稳定性。FDM-1650系列产品能够实时测试粉末材料电阻率,除了监测单一样品的长期稳定性,还可以用于测试不同样品以区分样品种类或同一样品不同改性状态,助力研发。
