在锂离子电池领域,能量密度是衡量材料储能能力的一个重要参数,是评估电池性能的一项重要指标。能量密度是指单位体积内所含的能量,一般来说与压实密度呈正相关关系。提高压实密度通常意味着提高了材料的紧密程度和储能能力,是提高电池能量密度的重要手段。而在锂离子电池的众多组成部分中,石墨作为大部分电池的负极材料,其压实密度对电池的整体性能具有至关重要的影响。因此,测试石墨压实密度在锂离子电池研究中显得尤为重要。我们可以使用FDM-1650产品,对石墨进行卸压测试,使粉末颗粒的受力状态更加接近其在真实极片中的受力状态,从而观察石墨在受压过程中的压实密度变化。

Ø 测试方案:
测试样品:石墨;
测试原理:两探针模式;
测试参数:实验面积132.73mm2,样品量1g,采用卸压模式进行测试,测试压力范围:加压压力0.5T/1T/1.5T/2T,保压30S,卸压压力2kg,保压10S.
测试频次:每个样品测试一组平行样。
Ø 测试结果分析:

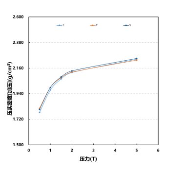
图 不同配比石墨的压实密度对比
表 不同配比石墨的压实密度对比

上图表为同一石墨不同掺杂比例制作出来的三款粉末。从加压数据可以观察到,在相同压力下,三款粉末加压阶段的压实密度没有显著差异;对卸压数据进行对比,在相同压力下,三款粉末卸压阶段的压实密度有较明显的区分度,在5T时,样品2的卸压压实密度大于样品1和样品3。
Ø 结论
通过采用FDM-1650系列产品对不同掺杂比例的石墨粉末进行压实密度测试,从数据结果可以直观看出石墨样品的压实密度差异,测试石墨压实密度对于锂离子电池研究具有重要意义。它不仅能够帮助研究人员优化石墨负极材料的制备工艺,提高电池的储能能力和充放电效率,还能够为电池的设计提供重要参考。通过精确测量和控制石墨压实密度,可以推动锂离子电池技术的不断进步和发展,为新能源领域的应用提供更加高效、可靠的电池解决方案。
