不同导电炭黑粉体导电性和压实性能评估
原创 苏州利电新能 苏州利电 2025年02月13日 11:54 江苏
作为锂离子电池关键组件之一的导电剂,尽管在电池配方中所占比例较小,但对电池性能的影响却是深远的。导电剂的主要功能包括提高电极材料的电子电导率、构建有效的电子传输网络、降低电极的接触电阻以及促进电解液的浸润。常见的锂离子电池导电剂主要分为导电石墨、导电炭黑、纤维状导电剂、石墨烯。
导电炭黑是目前电池的主流导电剂,炭黑颗粒的粒径小,比表面积大、堆积紧密,有利于颗粒之间紧密接触在一起,组成了电极中的导电网络。其与活性物质是点点接触。在电池中也可起到吸液保液作用。而电阻率和压实密度作为衡量粉末样品性能的重要参数,也是目前最受业内企业关注的参数。我们使用FDM-1650产品,对不同的导电炭黑粉体进行测试,可以对比出不同的导电炭黑的电阻率和压实密度的差异。

测试样品:导电炭黑;
测试原理:四探针模式;
测试参数:实验面积132.73mm2,样品量0.3g,采用变压模式进行测试,测试压强范围:10-350MPa,压强步进20MPa,保压时间10S。
如下图曲线所示:电池在4种不同的压力受压下,对应的膨胀和收缩的曲线也不同,受压小,如10kg下,电池的厚度膨胀量曲线整体趋势是缓慢上升的,这个比较符合电池的在充放电过程中容量会不断变小,效率无法100%的基理一致;当受压的力大于等于50KG,电池的厚度膨胀量曲线整体趋势是下降的,这种情况可能和静置的时间不够有关。

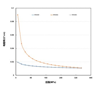
图1:压强VS电阻率

图2:压强VS压实密度

表1:导电炭黑的电阻率和压实密度
如上图表所示,导电炭黑的电阻率在测试中随着压强的增大而减小,压实密度随压强的增大而增大。在350MPa压强下,3个导电炭黑样品的电阻率大小:导电炭黑2>导电炭黑1>导电炭黑3。3个导电炭黑样品的压实密度大小是:导电炭黑3>导电炭黑1>导电炭黑2。
由此可知,在大压强下样品导电炭黑3的导电性能最好,压实密度也是最大。
我们通过FDM-1650系列产品对不同的导电炭黑粉体进行电阻率和压实密度测试,可以在不同的导电剂混合搭配中选择合适的配比,提高电池的性能。
