随着国家“双碳”战略目标的推进和全国碳排放权交易市场的开启,越来越多的企业开始重视碳排放量核算工作。目前,国际上常用的碳排放量化方法主要分为核算法和实测法。其中,核算法是指通过活动数据乘以排放因子或通过碳质量平衡来量化碳排放量;而实测法则是通过直接测量烟气流量和烟气中温室气体浓度来计算碳排放量。大量实践表明,在有条件安装连续排放监测系统(CEMS)的烟气排口,使用实测法核算碳排放量,其数据准确性更高、实时性更强,而烟气流量的在线监测是实测法的关键技术之一。目前,市面上广泛使用的烟气流量监测技术主要有三种:皮托管流量计、热式质量流量计和超声波流量计。
皮托管流量计
目前国内大多烟道是采用皮托管式流量计,常用于烟道气体流速测量的皮托管分为标准皮托管(L形皮托管)与 S形皮托管两种。与L形皮托管相比,S形皮托管的测压孔开口较大,不易被颗粒物堵塞,且便于在后壁烟道中使用,目前我国固定污染源烟道流速测量主要以S型皮托管为主。
S型皮托管是由 2 根外形相同的金属管焊接而成,测头上有2个方向相反的开口,2 个开口截面互相平行。测量时,正对气流来向的开口称为总压孔,背向气流来向的开口称为静压孔,将皮托管的尾端与微压计相连,差压△P与流量 Q之间关系符合伯努利方程,通过测量差压值求得流量。


其中,A表示烟道截面积;K表示流速校正系数;ΔP表示静压差,ρ表示气体密度。
热式质量流量计
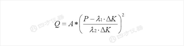
目前国内有少量烟道气测量采用这种流量计,适用于纯净介质和流场稳定的测量环境。热式流量计利用热的扩散来工作,其探头中有两个温度检测原件:一个是未被加热端,一个是加热端。未被加热端是用来测量流体介质自身的温度,作为一个参照端;加热端是测量端,其挨着热源,用于测量被流体介质带走后的恒热源表面的温度。气体质量流量与参考端和测量端之间的温度差成比例关系。


其中,A表示烟道截面积;P表示加热电阻的功率;ΔK表示参考端和测量端之间的温度差。
超声波流量计
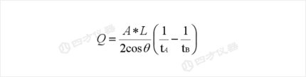
由超声换能器和信号处理单元构成,利用声波在流体中传播时会因为流体的流动方向不同而传播速度不同,测量超声波在流体中逆流传播时间和顺流传播时间,从而计算出流体流动的速度和流量。


其中,A表示烟道截面积;tA为超声波顺烟气流传输时间;tB为超声波逆烟气流传输时间;L为超声波传输路径长度;θ为超声波轴线与烟气流向夹角。
市面上主流流量计技术比较

总结
通过综合比较市面上常见的三种烟气流量计,超声波流量计凭借其独特的优势脱颖而出。它在全流速范围内,尤其是在流速低于5m/s时,能够提供高精度的测量结果。同时,超声波流量计的测量下限低,对复杂工况的适应性强。其采用非接触式测量方式,大大减少了设备的维护频率及成本,并且具备在线自动校准功能。这些特点使得超声波流量计特别适合在大烟道等流场紊乱的复杂环境中进行流量监测,能够确保测量数据与现场工况的变化保持高度一致,从而提供准确、可靠的监测结果。
烟气流量计产品推荐

