在热处理工艺中,气体渗氮是提升零件表面硬度、耐磨性和疲劳强度的关键工艺。但你知道吗?渗氮质量的好坏,很大程度上取决于一个神秘参数——氮势(Kn)。它如同烹饪中的“火候”,直接决定了渗氮层的性能。今天,我们就来揭开氮势测定的技术面纱。
一、什么是氮势?渗氮过程的 "隐形指挥官"
国标 GB/T 18177—2008《钢件的气体渗氮》对氨+裂解氨和氨+氮混合气体的氮势与测量值之间的关系给出了明确的定义:
• Kn=PNH3/PH23/2,
• PNH3:炉气中氨气(NH3)的分压
• PH2:炉气中氢气(H2)的分压
简单来说,氮势是衡量渗氮气氛 "渗氮能力" 的核心指标,就像盐水的咸度由盐含量决定,渗氮气氛的 "氮浓度" 就由氮势来表征。Kn值越高:表面氮浓度越高,易形成硬而脆的化合物层(白亮层);Kn值过低:渗层浅、硬度不足。
二、传统氮势测定方法:各有局限
(1)气泡瓶法(氨分解率法)
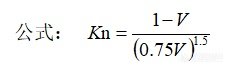
原理:这种方法用一个简单的 "气泡瓶" 实现:将炉气通入水瓶,氨气因易溶于水,水面上升的体积就是氨气含量,从而算出氨分解率(未分解的氨越少,氨分解率越高)。

(V—氨分解率)
优点:成本极低,操作像 "化学实验课" 一样简单,曾是工厂的 "标配"。
缺点:软氮化时CO2、H2O会溶解干扰测量;人工操作误差大,无法实时控制;仅适用于纯氨或者氨分解气气氛。
(2)氢探头法
原理:氢是氨分解的产物,通过测量氢气含量能间接算出氮势(氢越多,氨分解越彻底,氮势越低)。热导式分析仪利用氢气导热性强的特点,通过热量变化反推氢含量。
(PH2—炉气中氢分压)
优点:能实时监测,在线控制;技术成熟度高,具有较高的精度和长期稳定性。
缺点:使用寿命短;依赖气体比例恒定(实际生产中难以保证);需预设水煤气反应率,计算存在偏差;气体杂质(水汽、油污)会污染传感器。
(3)总结
方法 | 适用场景 | 主要缺陷 |
气泡瓶 | 纯氨渗氮 | 精度低、无法自动控制 |
氢探头 | 恒定比例气氛 | 抗干扰差、计算模型受限 |
三、激光技术:氮势测定的 "精准革命"
传统方法的痛点,倒逼出了技术革新。近年来,激光氮势测控系统的出现,让氮势测定进入了 "精准时代",而它的核心武器是TDLAS 技术(可调谐半导体激光吸收光谱技术)。
TDLAS 技术就像 "激光侦探",发射精准调谐到氨气(NH₃)吸收波长的激光,穿过炉气后,通过光强变化直接算出氨气含量;再搭配测量氢气的热导传感器,就能实时算出氮势。
激光技术的优势:
抗干扰:激光波长扫描范围仅覆盖被测气体(NH3)的吸收光谱,避免CO2、水汽等其它气体的干扰、"误判" 问题。
免接触:激光不与炉气直接接触,面对高温、强腐蚀性的炉内环境也 "面不改色",寿命远超传统传感器。
真实时:无需复杂预处理,数据秒级更新,即使炉内气体比例突然变化(如中途调整氮气、二氧化碳流量),也能精准捕捉氮势变化。
结束语
氮势测定从“经验估算”到“精准感知”的跨越,背后是材料科学与传感技术的深度融合。正如一位工程师所言:“控制好氮势,就握住了渗氮质量的命门。”
掌握这项关键技术,将为高端零部件制造提供核心竞争力。如果您想深入了解氮势控制解决方案,欢迎随时与我们交流!
