如何确定冷自由空间
根据之前的自由空间测试流程图中的过程C,在热平衡时,根据质量平衡方程,可得到总的气体的物质的量为:
(1)

上述方程可简化为:

(2)

其中nt是总的气体的物质的量,P3为此时的平衡压力,Fm是歧管的因子(在前面的问题中有介绍),Vu为此时冷浴液面以上的样品管体积,Tw是冷浴液面以上的区域温度,VL是冷浴液面以下的样品管体积,Tc是冷浴液面以下的区域温度,FLC是冷浴液面以下的样品管体积的因子。
在步骤2中
(3)

P2为此时的平衡压力,Fm是歧管的因子,Ffw是热自由空间因子。
因此,方程(2)可变为:

(4)

因为,
(5)
Vu为此时冷浴液面以上的样品管体积,Vfw为冷自由空间体积,VL是冷浴液面以下的样品管体积。
使用下列等式:
(6)
可得:
将方程(1)变形:

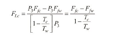
Ffc是冷自由空间因子。解出:


由此,即可解出冷自由空间体积
另外,还有一种获取冷自由空间体积的方式,即从空管校准、样品质量和样品密度来进行计算。先建立空管的冷自由空间体积数据,然后根据样品质量和样品的真密度计算出样品的真实体积,两者的差值即为冷自由空间体积。
