前言
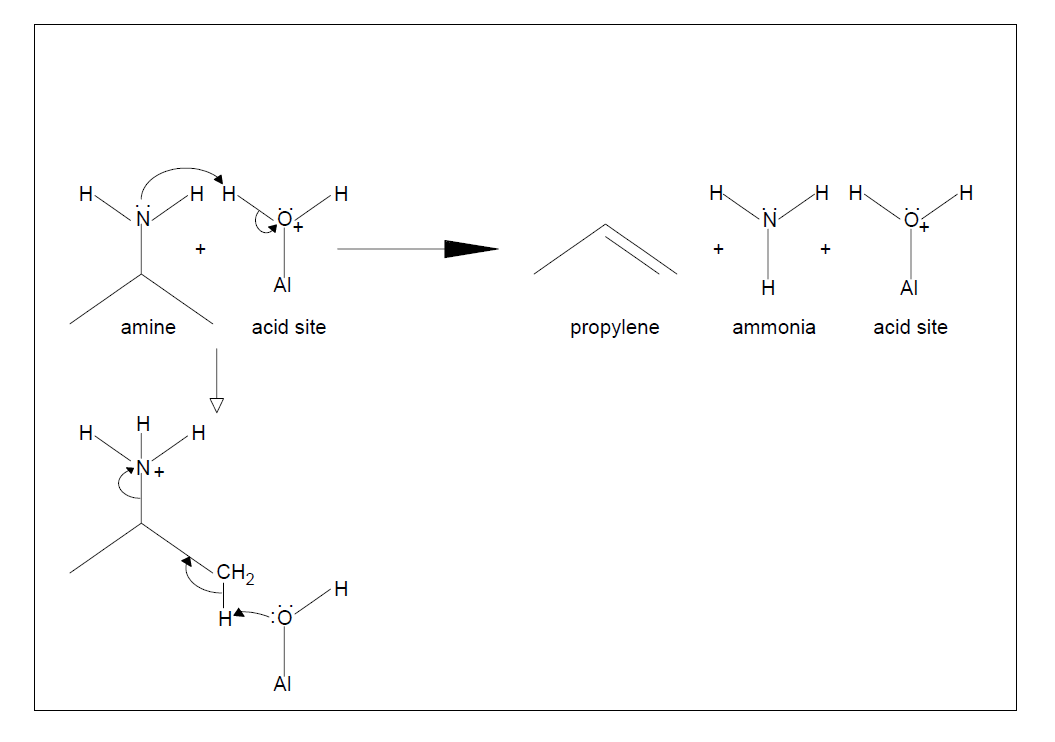
分子筛和其它催化剂的Brønstead酸度是影响反应动力学的重要因素。因此,这些酸位点的表征非常重要,通常参照氨化学吸附法测定催化剂酸度的标准试验方法(ASTM D 4824)进行。另一种表征方法则是使用丙胺对样品进行脉冲化学吸附,然后进行程序升温脱附(TPD)并连用质谱仪检测丙烯的方式进行分析(见图1)。采用带有蒸汽发生器的AutoChem化学吸附仪与质谱仪联用可以进行完整的表征分析。

图1.胺与酸位点反应,通过类似霍夫曼消除反应分解成丙烯和氨

图为 美国麦克仪器公司AutoChem系列化学吸附仪
实验部分:
材料:
本文中使用的分子筛为H+β(SiO2/Al2O3:150/1)。分别以异丙胺(> 99.5%GC)和丙胺(> 99.0%GC)作为试剂。丙烯(> 99%)也用于校正。
制备:
Beta分子筛可以带有不同的阳离子,包括NH4+和H+。这些阳离子可通过升温转变为H+。样品首先在惰气气氛中以10℃/ min的速率加热至500℃进行活化,然后降温至分析温度200℃。
分析:
Beta分子筛活化后即进行脉冲化学吸附。在此步骤中,采用惰性气体氦气,通过流经一个5cm3的loop环向样品中注入10次丙胺蒸汽,以确保样品吸附饱和。分析的最后一步是程序升温脱附(TPD)。在这一步中,质谱仪开始扫描检测产物丙烯信号。数据是在200°C到500°C的程序升温期间采集得到。
结果分析:
数据
为了获得定量数据,质谱仪必须通过采用高精度注射器刺穿垫圈注入已知体积Vcal的待检测气体(丙烯)来进行校准。质谱仪信号的峰面积可以通过AutoChem峰值编辑软件得到。为了增加校正精度,可以进行多次注射直至峰面积相似为止。然后可以对这些峰面积取平均值,以给出实际气体体积与质谱仪峰面积之间的转换系数Vcal/Acal,从而计算出分子筛的酸度。图2为此过程的示例。

图2. 面积-体积校准过程中质谱仪信号的示例

图3.AutoChem的热导率数据

图4.质谱仪峰值结果
此外,图3和4表明,热导检测方法包括化学吸附中残留的胺和氨,而质谱仪检测则区分出丙烯信号,从而可以计算酸位点的浓度。通过对图4中丙烯信号积分得到峰面积(Apms)后,酸位点浓度Nas可计算如下:

以下是与图4中数据相对应的计算值。浓度值表示为酸位微摩尔/每克分子筛。


美国麦克仪器公司是全球领先的材料表征解决方案供应商。在密度、比表面积及孔隙度、粒度及粒形、粉体表征、催化剂表征及工艺开发等五个核心领域拥有一流的仪器和应用技术。公司成立于1962年,总部位于美国佐治亚州诺克罗斯,在全球拥有超过300名员工。美国麦克仪器公司同时具备丰富的科学知识库和一流内部生产制造,为学术研究和解决工业问题提供广泛的高性能产品。为孵化和传递有价值的新技术而实现的伙伴关系,体现了公司全盘的、以用户为中心的理念,公司同时建立了商业测试实验室–Particle Testing Authority (PTA)实验室。战略收购英国富瑞曼科技有限公司和西班牙PID公司,也证明了我们在工业粉体和催化领域中对优化的综合解决方案的长期承诺。
美国麦克仪器公司拥有强大的全球网络,在美洲、亚洲和欧洲均设有子公司,并在其他地区有专门的经销商团队。这确保了为学术界和工业界的每位用户提供当地的知识支持。美国麦克仪器公司产品涵盖了石油加工、石化产品和催化剂、食品和制药等多种多样的行业,为下一代材料例如石墨烯、MOF材料、纳米催化剂和沸石等下提供最前沿的表征技术。公司致力于为每位用户提供最佳的解决方案。
