ApplicationNote 146
H+Y型分子筛(SiO2/Al2O3:60/1)的酸性位表征:
AutoChem的脉冲化学吸附和TPD应用
前言

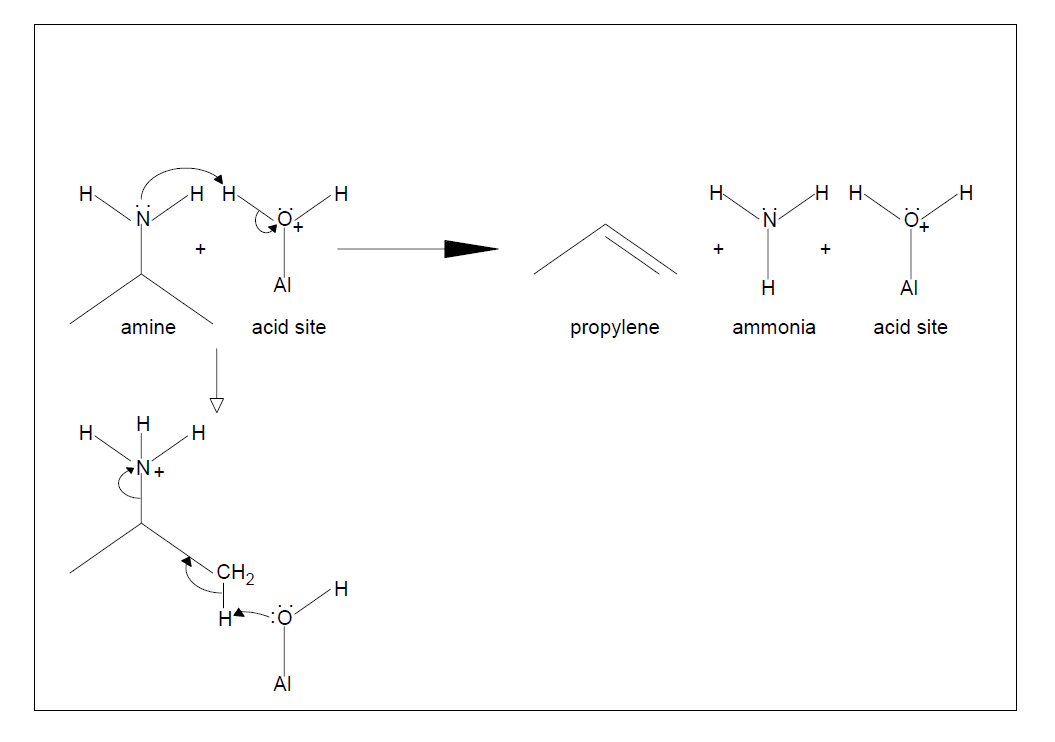
图1.胺与酸位点反应,通过类似霍夫曼消除反应分解成丙烯和氨
实验部分:
材料
本文中使用的分子筛为H+Y(SiO2/Al2O3:60/1)。分别以异丙胺(>99.5%GC)和丙胺(>99.0%GC)作为试剂。丙烯(>99%)也用于校正。
制备
Y型分子筛可以带有不同的阳离子,包括NH4+和H+。这些阳离子可通过升温转变为H+。样品首先在惰气气氛中以10℃/ min的速率加热至500℃进行活化,然后降温至分析温度200℃。
分析
Y型分子筛活化后即进行脉冲化学吸附。在此步骤中,采用惰性气体氦气,通过流经一个5cm3的loop环向样品中注入10次丙胺蒸汽,以确保样品吸附饱和。分析的最后一步是程序升温脱附(TPD)。在这一步中,质谱仪开始扫描检测产物丙烯信号。数据是在200°C到500°C的程序升温期间采集得到。
结果分析:
数据
为了获得定量数据,质谱仪必须通过采用高精度注射器刺穿垫圈注入已知体积Vcal的待检测气体(丙烯)来进行校准。质谱仪信号的峰面积可以通过AutoChem峰值编辑软件得到。为了增加校正精度,可以进行多次注射直至峰面积相似为止。然后可以对这些峰面积取平均值,以给出实际气体体积与质谱仪峰面积之间的转换系数Vcal/Acal,从而计算出分子筛的酸度。图2为此过程的示例。

图2. 面积-体积校准过程中质谱仪信号的示例

图3.AutoChem的热导率数据

图4.质谱仪峰值结果
此外,图3和图4表明,热导检测方法可检测到化学吸附中残留的胺和氨,而质谱仪检测则已区分出丙烯信号,从而可以计算酸位点的浓度。对图4中丙烯信号积分后可得峰面积Apms,酸位点浓度Nas可通过下式进行计算:

以下是由图4中数据得到的计算值,浓度值的单位为酸位微摩尔/每克分子筛。

