大家做完静态物理吸附实验的时候,往往会对吸附等温线数据点进行模型选择,从而进一步分析得到所需参数,比如用 t-plot 方法计算微孔孔体积、介孔内外表面积,或用 BJH 模型计算介孔的孔径分布等等。
大家在选择 t-plot 和 BJH 方法时,会看到软件相关方法界面里有 “Thickness Curve” 和 “BJH correction” 两个子单元,子单元下又有很多以人名命名的方法。小伙伴们可能对这些各式各样的方法感到不知所措,不知该如何选择。其实这些以人名命名的方法都是与吸附层厚度的计算以及 BJH 方法的修正有关,均为理论模型,适用于不同情况。选择好这些厚度计算模型和 BJH 修正方法,能使测验的孔容积和孔径分布计算结果更加准确。

图1. 厚度曲线与BJH修正
首先,我们要从吸附开始说起。低温下,在孔道中进行气态吸附质吸附的过程,往往是从建立单层吸附层到多层吸附层的过程。

图2. 单层到多层吸附
特别的,当孔的尺寸为介孔时(2-50 nm),吸附质气体由于介孔的毛细管凝聚作用,会在已经存在吸附层的孔道内发生液化凝聚,这个毛细管凝聚过程可由简单修正过的 Klevin 方程描述:

其中 P/P0 为相对压力,γ 为液化吸附质表面张力,θ 为接触角,∆ρ 为气、固吸附质密度差,rp 为孔半径,t 为吸附层厚度。
那么 “BJH correction” 单元里的 Kruk-Jaroniec-Sayari(KJS 方法)和 Faas 又是什么呢?原来通过对已知孔径的介孔硅基分子筛标准材料(如 M41S,SBA-15 和 MCM-Silicas 等)的研究,人们建立了反向修正 BJH 方法的途径,由于 BJH 在小于 10nm 的孔径计算上会有至多 20-30% 的低估,修正是必须的。 KJS 正是介孔材料计算式最常用的 BJH 修正方法。
至于 Fass 方法,则适用于对 BJH 计算步骤的修正。简单来说,BJH 计算步骤涉及到脱附时毛细管中液化吸附质蒸发量和吸附层厚度减少量的分别计算,有时在进行脱附时,介孔中只发生了的吸附层厚度变化,而并没有发生液化吸附质的气化,这时就需要引入 Fass 修正。平常来说,大家只要选择 KJS 修正即可。
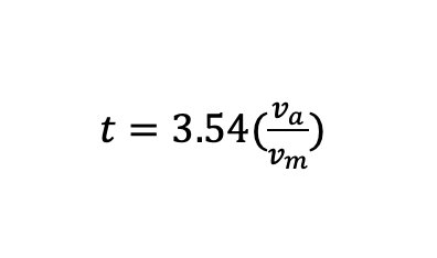
说完 BJH 修正,我们来谈谈吸附层厚度曲线。吸附层厚度曲线的计算模型也是五花八门,各有千秋。大家熟悉的 t-plot 图里的横坐标就由相对压力变成了吸附厚度,对于无孔材料,这里做简单的变化就可将吸附等温线中的平衡吸附量 Va 与平衡吸附厚度 t 关联起来:

其中 3.54 这个值就是单层氮气吸附层厚度(单位:埃,前提是吸附质为氮气),vm 为吸附剂对氮气的单层饱和吸附量。
这样我们就得到了无孔材料的 t-plot 图中的以吸附厚度为自变量的横轴。
但对于有孔材料,上式不能成立,需要用到各种厚度计算模型,我们将在下一篇文章中详细说明,便于小伙伴们理解和分析数据时的选择,请大家保持关注!
