我们在测试微孔材料时,经常会出现低压区等温线“拐弯”或中高压区等温线吸附支递减和脱附支上扬的异常现象,这分别是由于氦中毒和氦吸附引起的。本篇将为大家讲解导致这些现象的背后原因以及避免出现这些问题的应对方法。
氦中毒
常见于微孔材料的气体吸附,若在气体吸附前,先使用氦气对含样品的样品管进行自由空间测量,则由于微孔孔道狭小,氦气“钻”入这些微孔道内后,很难快速地向外扩散排除,导致在低压区测试时,后续氦气分子持续向孔道外缓慢扩散,干扰正常的吸附过程,形成典型的在低压区的回折形吸附等温线。

图1. 氦中毒等温线
这种低压区回折的现象,也可以出现在脱气不干净的微孔材料测试时。此时孔道内在低压时向外缓慢释放的是未脱气干净的杂质气体,造成的吸附干扰效果和氦中毒一致,但干扰持续时间可能会更久,回折可能更多,取决于杂志气体是否容易脱附。
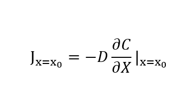
现在我们考虑沿 x 轴方向,在 X0 处的物质扩散通量 Jx :

图2. X0 处气体通量示意图
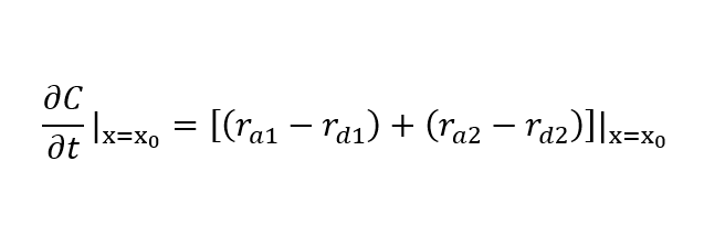
在 X0 处的气体浓度为 C,其净通量 Jx=x0 和吸附质气体的吸脱附速率及氦气的扩散速率或杂质气体的吸脱附速率有关,以杂质气体(如微孔分子筛内的吸附水分子)为例:

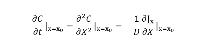
非稳态有:

样品管内气压的变化 dP 等于 Jx=x0 · dt,且:

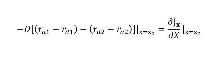
这里 ra1,ra2 分别为吸附质和杂质气体的吸附速率,对于氦气,其吸附速率为 0。rd1,rd2 分别为吸附质和杂质气体的脱附速率。我们令 r 净吸附 = ra1 - rd1,r 净排气 = rd2 - ra2 时,则有:

可见 X0 处的气体通量变化(直接影响样品管内气压变化)受吸附质气体净吸附速率和杂质气体净排气速率 / 氦气排气速率控制。吸附质气体的净吸附速率受孔径分布影响,而杂质气体净排气速率 / 氦气排气速率随着吸附测试的进行而减小。
所以,综合下来在低压区,可正可负,导致最终平衡压力出现回折。

随着测试压力进入中高压区,杂质气体或氦气的排放逐渐减弱,始终为正,回折消失。

但一些外比表非常小的纯微孔材料,由于在中高压区的净吸附很小,若此时杂质气体或氦气还未排干净,则可能导致为负,从而出现吸附支递减现象。

为了避免出现微孔材料吸附等温线回折的现象,我们建议:
a.微孔材料需要充分脱气,并在样品管口塞入转移塞(seal frit 或 transeal),必要时可以进一步在分析口进行原位脱气。
b.微孔材料使用后测自由空间功能,后测自由空间时,使用液位棒控制液氮补充到合理液位。
c.使用 AccuPyc 获得微孔材料的骨架密度,测试空样品管的自由空间。利用空样品管的自由空间和材料骨架密度,在吸附测试时利用计算法得到含样品的样品管的自由空间,整个测试过程不再使用氦气。
接下来,我们讨论另一个常见于微孔材料,尤其是硬碳材料的等温线异常情况:氦吸附。
氦吸附
有别于氦中毒(氦气的延迟扩散排出引起),氦吸附是指在测试自由空间的过程中,氦气被微孔吸附在孔道内,并在后续测试温度下保持吸附平衡,难以排出孔道,始终占据孔道。有理论和实验数据证明,在存在极微孔(<0.5 nm)的情况下,液氮温度下的氦气吸附效应不可忽略。
由于在测量自由空间时,氦气发生了吸附,这会导致测出的自由空间值偏大,从而引起吸附支的下降和脱附支的上升。
我们考虑一个吸脱附过程:

图3. 吸脱附曲线及吸脱附量变化
根据质量守恒,对于从吸附平衡点 1 到下一个压力下的吸附平衡点 2,我们有:

其中,adx 为 x 压力点下的平衡吸附量,f(P) 为 P 的单调递增函数,V 为自由空间(与热及冷自由空间都有关),dose 为歧管注气量。稍加整理我们可得:

注意,由于氦吸附的存在,自由空间 V 变大了,且由于 f(P1) - f(P2)<0,所以 dose + [f(P1) - f(P2)]V 这项可能会变为负数,即 ad2 < ad1,出现等温线吸附支递减。递减的程度取决于氦气吸附的严重程度。同样的,我们也能推导出由于氦气吸附引起的自由空间变大,使得脱附支上扬,这里不再推导累述。
为了避免氦气吸附,我们建议气体吸附侧式过程中不再使用氦气,即用样品骨架密度结合空管自由空间值来计算含样品的样品管的自由空间值。Micromeritics 所有物理吸附仪器都可以使用这个自用空间的计算方法。当然我们首先需要通过 AccuPyc 得到微孔材料准确的骨架密度值,测试时使用控制温度下的氦气进行气体置换,以减少氦气吸附带来的误差。
最后值得注意的是,含有极微孔的微孔材料会受到氦吸附和氦中毒的共同影响,所以如果不了解微孔材料的孔道性质,保险起见使用计算法得到自由空间值。同时一定要对微孔样品进行充分脱气(一般是 300-350 度,12-18 小时),并使用转移塞防止脱气后的样品接触空气,发生二次污染。
