产品介绍
BT-102金属粉末流动性测定仪(霍尔流速计)/金属粉末松装密度测定仪是用于测试金属粉粉末流动性和松装密度的仪器。BT-102金属粉未流动性测定仪(霍尔流速计)/金属粉末松装密度测定仪可以测试金属粉流动性和金属粉的松装密度。提供两种不同孔径规格的漏斗,量杯材料标配为不锈钢材质。广泛用于工业化学、科研院校、质检机构等相关金属粉未粉体检测。
符合标准


操作步骤:(霍尔流速)
● 称量样品:称量50g样品,准确到0.1g。
● 倒入样品:使用2.5mm孔径的漏斗,堵住漏斗底部小孔,把称量好的50g样品倒进漏斗中。
● 开始计时:打开漏斗小孔挡板,开始计时。如果小孔开启时,粉末不流动,则可用刮板在漏斗上敲击一下,以使粉末开始流动。如果粉末仍不流出或在测量过程中粉末停止流出,根据ASTM要使用孔径较大的卡尼漏斗。
● 停止计时:漏斗中粉末全部留出瞬间,停止计时。重复三次,取其平均值,(准确到0.1S),即为所测样品的流出速度。
操作步骤:(松装密度)
● 量杯去皮:将空量杯放到天平上去皮。
● 摆放位置:将量杯放到平台上,将平台调至水平,使用2.5mm孔径漏斗或5mm孔径漏斗。将25mm高度定位块放在25ml量筒上,使漏斗正好落在高度定位块上,然后扭紧锁紧螺钉。
● 倒入粉体:堵住漏斗孔。将待测粉体倒入漏斗中。
● 开启漏斗小孔:开启漏斗挡板,让粉末通过小孔自由流出落在杯中,直至完全充满杯子并有粉末溢出时为止。如果粉末不能从2.5mm孔流出可根据ASTM表述使用孔径为5mm的卡尼漏斗。如果换用卡尼漏斗,粉末仍不能流出杯子时,可用1mm金属丝从漏斗上部疏通一次,使粉末流出。
● 刮平:用刮板刮平量杯口的粉末。注意刮板与水平夹角45°左右,沿单方向刮平。
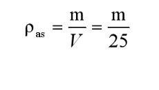
● 称量:刮平后放到去皮的天平上称量样品的质量m,准确到0.05g。
结果计算
取三次测定结果的平均值报出结果,准确到0.01g/cm³。当三次测量结果之间的差值超过平均值的1%,其大值和小值也要随结果报出。

式中:


