
德国弗莱堡大学课题组利用Forge Nano Prometheus 流化床原子层沉积系统进行商用燃料电池 Pt/C 催化剂的制备
作者:德国弗莱堡大学 Fiona Pescher, Julian Stiegeler, Philipp A. Heizmann, Carolin Klose, Severin Vierrath, 和 Matthias Breitwieser
文章:Pt/C catalysts synthesized in a commercial particle atomic layer deposition system enabling improved durability in fuel cells
01研究背景
质子交换膜(PEM)燃料电池因其高能量转换效率和低排放特性,被认为是未来能源转换技术的关键。在这些电池中,铂(Pt)基催化剂因其高活性而被广泛用于氧还原反应。然而,Pt 催化剂在运行过程中会受到多种降解机制的影响,如奥斯瓦尔德熟化和碳腐蚀,从而导致催化剂性能下降。因此,开发高稳定性和高质量活性的 Pt 基催化剂是实现 PEM 燃料电池商业化的关键挑战之一。
02摘要
本研究旨在利用商业化、可扩展的粉末 ALD 系统合成用于燃料电池的 Pt/C 电催化,以提高燃料电池的耐久性和性能。
通过透射电子显微镜(TEM)和 X 射线衍射分析,研究者们发现所合成的 Pt/C 催化剂具有高度分散的铂纳米粒子,粒径分布狭窄(对于 30 wt% Pt 的催化剂,粒子平均尺寸为 2.2 ± 0.5 nm;而对于 40 wt% Pt 的催化剂,平均尺寸为 2.6 ± 0.6 nm)。
在模拟应用条件下的性能测试中,ALD 合成的催化剂与最先进的催化剂(TEC10V50E)展现出相似的初始性能。经过 30,000 次电压循环后,ALD 催化剂显示出比参照催化剂高出 64% 的电化学活性表面积和更优越的电池性能保持率。与商业参考材料相比,电池性能保持出色,0.65 V 下的电流密度提高了 34%。鉴于商业粉体 ALD 系统的规模化生产可能,将有助于使用粉体 ALD 作为工业中燃料电池催化剂材料的新型合成方法。
03实验部分
01 电催化剂合成
研究者们首先对碳材料进行了氧化处理,以增强其表面功能化。传统的 ALD 方法侧重于涂覆平坦表面,但专用的粉体 ALD 反应器已经可以在大批量粉末材料上实现均匀的涂层,该研究中使用商业化的 Forge Nano Prometheus 流化床 ALD 系统在功能化的碳黑颗粒上沉积 Pt 纳米粒子。

(a) Forge Nano 的 Prometheus 流化床 ALD系统;(b) Pt-ALD 过程中各个步骤的示意图。
通过调整 ALD 循环次数(15,30,40 cycle),可以在碳载体上实现不同铂含量的负载,同时保持铂纳米粒子的高度分散和狭窄的粒径分布。

(a) 用不同 ALD 循环次数合成的不同催化剂的 Pt 粒径分布。通过评估相应的 2D TEM 显微照片获得直方图。(b) 平均 Pt 纳米颗粒直径与所应用的 ALD 循环次数的关系
通过优化 ALD 过程的温度和循环次数,研究者们成功合成了具有高度分散铂纳米粒子的 Pt/C 催化剂。

在不同氧剂量温度下合成的 ALD Pt/Cs 的明场 TEM 显微照片:(a) ALD-Pt/C-300 °C,(b) ALD-Pt/C-200 °C,(c) ) ALD-Pt/C-150 °C。黄色箭头表示存在 Pt 聚集体。(c) 150 °C 的工艺温度被选择用于所有进一步的 ALD 和燃料电池实验。
02 催化剂性能评估
研究者们对比了 ALD 合成的催化剂与商业 Pt/C 催化剂(TEC10V50E)在燃料电池中的性能。通过加速应力测试(AST),评估了催化剂的稳定性,重点关注铂的降解。测试结果显示,ALD 催化剂在经过 30,000次 循环后,保持了更高的电流密度和电化学活性表面积(ECSA),显示出比参照催化剂更优越的耐久性。

三种电催化剂的电化学表征:(a)在80℃、50%RH和 130kPa 背压下在 H2/ 空气中的极化曲线,(b)在0.65V下取得的电流密度,(c)在 80℃、50%RH 和 130kPa 背压下取得的电流密度在 0.5V 下,以及(d)根据在H2 /N2、80℃、100% RH 和环境压力下测量的循环伏安图确定 ECSA
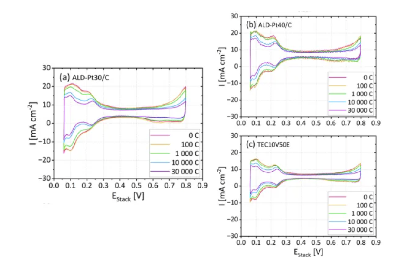
ALD 催化剂和商用 Pt/C 在活化性能、欧姆和传质区域表现出同等水平的初始燃料电池性能。经过 30,000 次 AST 循环后,可以观察到参考催化剂和 ALD 催化剂之间性能衰减的明显差异:在 0.65 V 电压下,商业催化剂的电池仅保留其初始电流密度的 38%,而 ALD 催化剂保留了较高比例的初始电流密度(ALD-Pt30/C:51% 和 ALD-Pt40/C:46%)。在电池电压为 0.5 V 时,这种有益效果变得更加明显:两种采用 ALD 催化剂的电池都保留了超过 80% 的电流密度,而商业参考电池与 BOT 相比保留了约 66%。
使用循环伏安法测定每种催化剂的 ECSA(电化学活性表面积)。在电池测试开始时,与含 40 wt% 铂的催化剂相比,ALD-Pt30/C 催化剂表现出更高的 ECSA。 在整个测试期间,与商业催化剂相比,ALD 制备的催化剂始终表现更优异,高出 40% 至 80% 的 ECSA 和 20% 至 50% 的质量活性。

在 BOT 处测得的 (a) ALD-Pt30/C、(b) ALD-Pt40/C 和 (c) TEC10V50E 在 100、1000、10,000和 30,000 个循环后的 CV。
04结果与讨论
ALD 催化剂在燃料电池测试中展现出与商业催化剂相当的性能,并在耐久性测试中表现出更优异的稳定性和 ECSA 保持率。

这些结果归因于 ALD 过程中实现的优化的铂粒子尺寸分布和在碳载体上的均匀分散。
研究者们认为,ALD 催化剂的优越性能可以归因于以下几点:
高度分散的铂纳米粒子:ALD 过程中生成的铂纳米粒子在碳载体上高度分散,没有形成较大的团聚体,这有助于提高电化学活性表面积(ECSA)。
狭窄的粒径分布:铂纳米粒子的粒径分布狭窄,有助于提高催化剂的热稳定性,减缓 Ostwald 熟化过程。
优化的 ALD 过程:通过调整 ALD 循环次数和反应温度,可以精确控制铂含量和粒径,从而获得具有优异耐久性的催化剂。
05结论
本研究表明,商业化的粉末 ALD 系统可以用于合成高性能的 Pt/C 燃料电池催化剂。通过调整 ALD 循环条件,可以精确控制碳载体上的铂含量和粒径,从而获得具有优异耐久性的催化剂。未来的研究将关注将这种方法扩展到其他碳载体材料,并进行规模化实验,以验证催化剂的均匀性,为 ALD 技术在更大规模的催化剂制造中铺平道路。
06未来展望
未来的研究将关注将这种方法扩展到其他碳载体材料,并进行规模化实验,以验证催化剂的均匀性,为 ALD 技术在更大规模的催化剂制造中铺平道路。此外,研究者们还计划探索将 ALD 技术应用于其他类型的催化剂,以进一步提高燃料电池的性能和耐久性。
这篇文献的研究为燃料电池催化剂的合成提供了一种新的、高效的途径,展示了 ALD 技术在纳米材料合成领域的潜力。通过精确控制催化剂的纳米结构,研究者们能够显著提高催化剂的性能,这对于燃料电池技术的发展具有重要意义。
