前言
氮化锆陶瓷具有高熔点、高硬度、好的化学稳定性和电学性能,在硬质涂层、耐极端工况材料、核燃料惰性基质以及扩散障等方面受到了广泛应用。
溶胶凝胶法是制备氮化锆陶瓷材料的重要方法,它是由溶液中金属离子经水解缩聚逐渐凝胶化,再经煅烧形成氧化物前驱体,最后通过适当的热处理来得到目标化合物的方法。
内凝胶法是溶胶凝胶方法中的一种,指溶胶内部含有固化所需的胶凝助剂,如六次甲基四胺,其在受热后发生水解可使前驱体pH上升从而促进凝胶固化发生。内凝胶法是制备氧化物和非氧化物陶瓷材料常用的工艺方法。在制备过程中,TGA/DSC测试是热处理和烧结工艺之前必须进行的工作,它具有以下三个方面的重要作用:
(1)凝胶状态微球的内部存在较多有机物,通过TGA/DSC测试能够初步判断出凝胶内部存在有机物的热行为;
(2)TGA/DSC的分析结果能够对热处理烧结工艺的制定起到参考借鉴作用,明确剧烈反应的温度范围,从而制定合理的烧结温度;
(3)将添加不同碳源的样品在相同条件下进行TGA/DSC测试,能够对比其在热行为上的信息差别。
梅特勒托利多 同步热分析仪 TGA/DSC 3+
制样过程
内凝胶工艺采用的原料包括硝酸氧锆、六次甲基四胺、尿素,碳源选取炭黑或果糖。首先,配制硝酸氧锆的水溶液(溶液I)以及包含六次甲基四胺和尿素的水溶液(溶液II)。随后添加碳源,当碳源选用炭黑时,则将适量炭黑粉末加入到溶液II中,通过超声实现炭黑在其中的均匀分散;当碳源选用果糖时,则将适量果糖溶解于溶液I中,通过搅拌实现果糖的完全溶解。加入碳源后,在搅拌条件下将溶液II逐滴加入到溶液I中,混合溶液的pH在这一过程中逐渐升高,形成凝胶三维网络结构。最后将其在60℃干燥后研磨成凝胶粉末,用于热分析测试,凝胶粉末样品形貌如图1所示。
图1.(a)含炭黑的凝胶粉末样品、
(b)含果糖的凝胶粉末样品
含炭黑和含果糖的凝胶粉末热分析过程采用热重/差示扫描量热仪(TGA/DSC 3+, Mettler Toledo)进行,它的升温能够达到最高1600℃,对于陶瓷材料的制备过程研究非常适用。实验过程中,首先称取适量凝胶粉末样品置于陶瓷坩埚中,然后以10℃/min的速率升温至1500℃进行分析,实验过程选用氮气气氛。
结果讨论
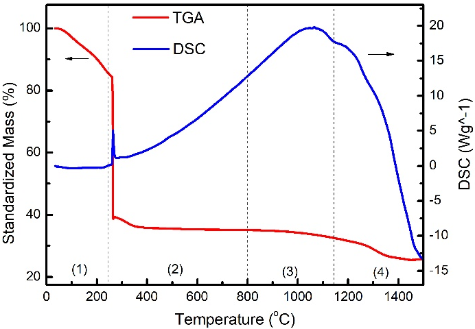
在以炭黑和果糖作为碳源时,相应凝胶干燥粉末获得的TGA/DSC曲线分别如图2和图3所示。首先,根据TGA曲线的变化,两种凝胶粉末的热行为均可分为4个阶段,分别对应着吸附水的去除、残余有机物分解和碳化、氧化锆晶型转变、以及碳热氮化反应的发生。由于碳源组分的差别,两种凝胶粉末在每个阶段的起止温度和反应剧烈程度不同。
在图2以炭黑为碳源的凝胶粉末获得的结果中,由室温到240℃,TGA曲线上失重15%对应的是凝胶中吸附水的去除,这里包括物理吸附水和化学吸附水。从240℃到800℃,TGA曲线上对应48%的失重是由于凝胶中参与的有机物分解与碳化,残余的有机物包括六次甲基四胺、尿素以及在胶凝化过程中形成的脲醛树脂。DCS曲线在263℃附近出现明显的放热峰,对应了残余有机物分解碳化最剧烈的阶段。第3个阶段从800℃到1140℃,在DSC曲线上1050℃出现的放热峰,对应的时氧化锆的晶型转变过程。在1140℃到1500℃之间,TGA曲线上表现为失重7%、DSC曲线于1200℃的放热峰,对应的是碳热氮化反应的发生。
图2.含炭黑凝胶粉末在N2下的TGA/DSC曲线
图3.含果糖凝胶粉末在N2下的TGA/DSC曲线
在图3中,以果糖为碳源的凝胶粉末的热行为中,其四个阶段分别对应的温度范围为:室温~210℃、210℃~730℃、730℃~1200℃和1200℃~1500℃,凝胶粉末的相对失重分别为17%、38%、6%和9%,碳热氮化反应对应的主要失重以及放热峰位于1300℃附近。
对比图2和图3可知,在以果糖为碳源的图3中,其在第二个阶段的失重过程相对缓和,反应的剧烈程度较以炭黑为碳源的图1中凝胶要低。在以果糖为碳源时,这一过程还包括了果糖的分解与碳化,有机碳源果糖在温度升高时首先通过碳化转变为无定形碳,随后在高温时参与碳热氮化反应的进行。此外,相比于含有果糖的凝胶粉末,以炭黑为碳源时碳热氮化反应的起始温度相对更低。具体地,以炭黑和果糖为碳源时,碳热氮化反应的峰温分别为1200℃和1300℃。
结论
通过TGA/DSC分析明确了凝胶粉末在加热过程中的热行为变化过程,包括其中有机物分解的温度范围、碳热氮化反应的发生、凝胶的总失重、以及不同碳源加入对凝胶热行为的影响等具体信息。从而根据热分析制定热处理温度,在有机物分解反应较为剧烈的温度范围内,采取较为缓慢的升温速率,从而保证凝胶中残余有机物的充分去除,当以果糖为碳源时同时保证果糖的有效分解和均匀碳化;确定合理的碳热氮化温度,当以炭黑和果糖作为碳源时最高碳热氮化温度分别设置为1400℃和1450℃。根据图4和图5所示的X射线衍射图谱可知,热处理后所得产物为单相氮化锆粉体。
图4. 以炭黑作碳源时所得产物的XRD图谱及形貌
图5. 以果糖作碳源时所得产物的XRD图谱及形貌
