介绍
设置正确的乳化过程是乳化成功与否的关键,研发人员需要高水平的专业知识来选择正确的工具(搅拌叶片和均质类型)、参数(速度和时间…)等。乳化的效率通常通过粒度分析仪进行测量粒度来表征的,由于常见的粒度分析设备与分散设备是分离的,所以要繁琐的取样过程和重复性验证,限制了粒度的动力学分析。Turbiscan® Lab多重光散射仪搭配T-LOOP模块,为此类在线测量提供了优秀的解决方案。
工作原理
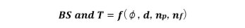
基于静态多光散射(SMLS)的Turbiscan技术的工作原理是利用近红外光源照射样品,然后获取样品从底部到顶部整个高度的背散射(BS)和透射(T)信号。
![]()
信号强度与粒子的浓度(φ)和大小(
