从下图(图1)所示的SEM图像来看,NH4型ZSM-5是尺寸约为200 nm的多面体层状颗粒的集合体,通过在535℃下加热和在大气压下加热3 h制备的H+型ZSM-5可以确认由颗粒之间的狭缝型微孔组成。
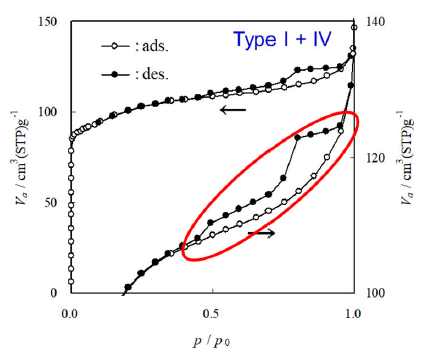
H+型ZSM-5的N2(77.4K)脱附等温线(图2),显示出迟滞环闭合在相对压力p/p0=0.43处,可以看到颗粒间存在介孔。吸附曲线可归类为I+IV型,也显示出颗粒内有微孔存在。


等温线的分支如图3所示。从直线的斜率①,总表面积(Aex+Ameso+Amicro)可以从直线的斜率来评价,②直线斜率:外表面积+中孔表面积(Aex+Ameso),③分离枝得到外表面积Aex为3.1m2/g,Ameso为29m2/g,Amicro为371m2/g。此外,通过切线 ② 和 ③反向延长至t=0处,由吸附量(B-A 点)差值得出介孔的体积(Vmeso),并根据吸附量(A点)得出微孔体积Vmicro。Vmeso为0.04 cm3g-1,Vmicro为0.15 cm3g-1。表1显示以上比表面积和孔体积得结果。
使用INNES方法计算该H+型沸石材料的介孔,在第8篇文章中有单独介绍。

图3 大气压热处理后的H+型沸石的t-曲线
◇ 切线①的斜率:全表面积 Aex+Ameso+Amicro
◇ 切线②的斜率:外表面积+介孔表面积 Aex+Ameso
◇ 切线③的斜率:外表面积 Aex
◇ 点A的吸附量: 微孔体积 Vmicro
◇ 点B的吸附量: 微孔体积+介孔体积 Vmicro+Vmeso
表1. 多孔沸石的比表面和孔结构的计算方法

点击下载
