介绍
复杂流体,是由无数个微小的微观体系共同组成的一个宏观体系。在液体流动过程中,可能存在的复杂流体的流场,导致非牛顿的行为。例如,聚合物溶液在剪切流中,溶解的聚合物分子的拉伸诱导了的流体粘度的减少(和高剪切速率下的剪切变稀行为)。因此,样品在不同的流速下具有不同的响应特性,所以研究人员需要完整的流变曲线的来反映样品粘度随所施加的剪切速率的变化行为,这些特殊行为决定着材料的加工性能和使用性能。普通的机械流变仪由于高速剪切产生湍流限制了流变性的测量,微流控可视流变仪突破了原有的测试理论,将流变测试变得更加简单和精确。本应用将机械流变数据和Fluidicam微流控可视流变仪的测试数据对比结合,并进行了流变模型拟合。
样品
溶液由3%乳清蛋白分离物(Pronativâ 95 from Lactalis France)和0.4%黄原胶(Ketrolâ AP from Kelco)混合而成。
仪器
溶液在低剪切速率(0.1-1000s-1)下的流变特性是通过机械流变仪(AR1000 TA仪器)进行的,采用锥板几何形状(直径40毫米,锥角4°)。在AR1000流变仪可用的最大剪切速率下,黄原胶溶液尚未达到第二个牛顿平台。故采用FLUIDICAM微流控可视流变仪测量高剪切速率域[103-105]s-1的流变特性 (FLUIDICAM RHEO, Formulaction Toulouse, FRANCE),两组数据均绘制在Fig.1中,拟合参数如表1所示。
结果

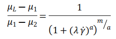
Carreau-Yasuda方程

为了表达溶液的粘性流动响应,需要定义一些参数,本文应用Carreau-Yasuda流变方程进行拟合,拟合结果如下:

μ1是牛顿平台区粘度(零剪切粘度);μ2是第二牛顿平台区粘度(剪切速率非常大时聚合物剪切变稀达到的另一个平衡粘度);a为控制从零剪切牛顿平台到剪切变稀指数区域的粘度转变速度的常数(a<1时,转变区域扩大);λ时松弛时间(指材料受力变形,外力解除后恢复正常状态所需的时间),m为流型指数(m越小,非牛顿流体越显著;m=1,流体呈牛顿行为)。
参考文献 J. Sepulveda, A. Montillet, D. Della Valle, C. Loisel, A. Riaublanc, Deformation of gas-liquid interfaces in a non-Newtonian fluid at high throughputs inside a microfluidic device and effect of an expansion on bubble breakup mechanisms, Chemical Engineering Science (2019)
