以下文章来源于布鲁克X射线部门
炉渣是高温冶金过程中的重要组成部分。在保证金属纯度达到最高的同时,对燃烧炉侵蚀最小,保证最好的物理性能。如何增减添加剂的用量 –如石灰和白云石–是基于炉渣的化学成分。因此,为了控制陈本,实现利益最大化,准确快速分析炉渣成分至关重要。
根据用于钢/金属制造的规程,有不同类型的炉渣。本报告展示了S6 JAGUAR在分析电炉(EAF)炉渣和钢包冶金炉(LMF)炉渣时的性能。S6 JAGUAR可应对冶金等恶劣工业环境,如冶金厂。在提供可靠、准确的炉渣分析时,也能保证较长的运行时间和快速分析。
S6 JAGUAR:具有完整 WDXRF 性能的台式系统
S6 JAGUAR 波长色散 X 射线荧光 (WDXRF) 光谱仪是一款功能最强大的台式 WDXRF。S6 JAGUAR配备了现代化的软件解决方案和最先进的硬件,配置完善,可实现同类产品中的分析性能。凭借 400瓦的 X射线管和HighSense™ 技术,它对各种元素(F 至 U)具有出色的灵敏度。
即使在多尘环境中,我们的 SampleCare™ 技术、专门的加强型空气过滤器、坚固的设计和整体高质量组件确保了系统的正常运行。与仅采用氦气模式的XRF系统相比,集成真空模式可最大限度地降低运营成本。TouchControl™可触摸操作 界面和 SPECTRA.ELEMENTS软件可轻松完成过程控制。
样品制备
将炉渣样品压碎 ,并在研磨前用磁铁除去剩余的金属铁。使用15g样品和1g助磨剂将渣粉制成压片(图1)。与熔融片相比,压片的优势在于制样步骤快速简单。细致的压片制备可实现高重复性和可靠性,特别是对于微量和痕量元素分析。
参数配置、校准和分析 为测定炉渣样品中的主要和次要元素,优化了分析条件和晶体设置(表1)。分析在真空模式下进行,以获得的分析性能和最低的操作成本(无需氦气!)。 进行了两套曲线校准,一个针对电炉渣,一个针对钢包炉渣。对于每次校准,我们都使用了一套8种经过认证的标准样品 (CRM) 和8种经过校验的二次标准品。校准曲线所涵盖的元素和组成范围列于表2中。典型的校准曲线如图2所示。 表1:分析条件
重复性、精密度和准确度
电炉渣(表3)和钢包炉渣(表4)的重复测试表明,S6 JAGUAR在炉渣分析(表3和表4)方面具有出色的精度和稳定性。样品测试的同时可随时装载其他样品。
表2:CRM样品的组成范围


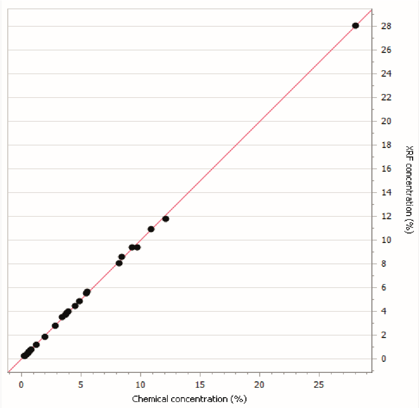
图2:MnO 的校准曲线 (R² = 0.99957)。曲线来自于SPECTRA.Elements软件提供
表3:电炉炉渣 – 稳定性、精度和准确度

表 4:钢包炉渣 – 稳定性、精度和准确性

结论
S6 JAGUAR虽是一款台式WDXRF系统,但可以与许多落地式WDXRF系统竞争。紧凑尺寸的高性能系统源于尖端技术组件和创新几何光路设计的智能组合;包括HighSense XE探测器,紧密耦合的光路和400瓦的X射线光管。
本报告重点介绍了S6 JAGUAR在炉渣分析方面的出色能力。S6 JAGUAR通过精确监控炉渣成分实现严格的过程控制。这样可以增强炉渣的性能,同时谨慎使用添加剂。快速获得分析结果,S6 JAGUAR为您的冶金设备增加了真正的价值,并可快速收回成本!
