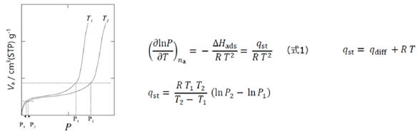
吸附现象产生的热量被称为“吸附热”,并伴有热量的产生。吸附是“吸附质与固体表面之间的相互作用”与“吸附质之间的相互作用”的总和,并且这些相互作用的总和可以由“吸附热”来表示,因此吸附热对于评价吸附剂固体表面特性至关重要。吸附热可以使用热量计进行评估或通过测量不同温度下的吸附等温线(最少 2 个点或更多)代入 Clausius-Clapeyron(方程 1)计算得出。在这里,-ΔHads是与吸附相关的焓变,可以等效为微分吸附热qst。
图1 不同温度下的吸附等温线 在给定的吸附量的等量吸附热 qst是 计算从2个或以上不同温度下的吸附等温线上相等的吸附量时的压力点计算的出的(参见方程 2) (图 1)。超过单分子层吸附量时,吸附热接近凝结热,因此不同温度T1、T2的温差应最多小于10 K。吸附热从低吸附量到单分子层吸附的变化,使我们能理解材料表面与吸附质之间的相互作用和吸附质与吸附质之间的相互作用。我们的分析软件使我们能够很容易地分析两到三个吸附等温线以上的等量吸附热。 用BELSORP MAX测试了GCB-I(石墨化碳黑:Vulcan 3G)、NGCB(碳黑:#51)在N2@77.4 K和87.3K下,从极低相对压力(p/p0=1E-8)开始的吸附等温线,并绘制了等量微分吸附热 (qst)与表面覆盖度 (θ = VP/P0/Vm;θ =1 代表单层形成)的关系图,如图2所示。图中显示 GCB-I 在 0 < θ<0.2区间,qst减少约10%,这表明GCB-I是一个轻微的异质表面,在0.2<θ <0.85区间的10%增加量代表了GCB表面吸附的氮分子之间的相互作用,这使我们能够确认GCB-I表面的均一性。这种表面的均匀性也可以从qst在λ>0.85时迅速减少得到解释,其中当λ=1时,qst=6.3 kJ mol-1接近 N2@77.4 K 下的凝聚能量5.58 kJ mol-1。另一方面,NGCB的qst正逐渐从13.9 kJ mol-1降低到6.9 kJ mol-1。此变化表示 NGCB 上存在吸附活性位(边缘和表面的官能团),表明它们广泛地能量分布。这允许NGCB表面的异质性和评估。 通过等量吸附热观察到的表面特性也可以从两种碳的αs曲线(图3)中得到确认。NGCB 的 N 覆盖在 p/p0=1E-7左右开始,但其αs曲线中没有台阶(IUPAC VI型等温线),与GCB-I相比,其表面属性可以定性地判断为非均匀(异质表面)。 参考文献: K. Nakai, M. Yoshida, J. Sonoda, Y. Nakada, M. Hakuman and H. Naono, J. Col. & Int. Sci.、 351, 507-514(2010)

