页岩气是一种赋存于富有机质泥页岩及其夹层中,以吸附和游离状态为主要存在方式的非常规天然气,成分以甲烷为主,含量一般在85%以上,最高可达99.8%,是一种清洁、高效的能源资源和化工原料。页岩气以两种主要方式赋存在页岩烃源岩中:1) 孔隙和天然裂缝中的游离气体;2) 有机物和无机矿物表面上的吸附态气体[1],因此页岩吸附能力对页岩开采性评价具有重要意义,对于页岩气吸附能力的研究,页岩复杂的纳米级孔隙结构是决定吸附量的重要因素。
当前测定页岩孔隙结构的方法有气体吸附法和压汞法,通常采用低温氮气吸附法表征微介孔,压汞法表征大孔,压汞由于毒性和无法重复使用的缺点常用于最后检测,低温氮气吸附具有无损检测和样品可回收的优点而备受青睐,但页岩岩心取样尺寸与常规低温氮气吸附所用样品管相差较大,当前解决方案是将页岩样品研磨后进行测试,研磨后的样品会破坏孔隙结构,测试结果不能准确表征取样岩心真实吸附量,针对上述情况,我公司研发出岩心专用样品管并进行了测试。
实验部分
使用精微高博BK400仪器和岩心专用样品管对岩心样品进行低温氮吸附测试并分析。
专用样品管
岩心专用样品管转换接头、岩心专用样品管、芯棒和填充块如下图所示,可进行尺寸在直径25 mm,长度110 mm以内的岩心样品的测试;

岩心专用样品管及芯棒

样品管对应填充块
样 品
此次实验的样品为碳酸岩和砂岩,碳酸岩是对碳酸盐类矿物组成的岩石的泛称,由碳酸盐矿物(>50%)组成,矿物成分复杂含有一定量的原生岩浆矿物及稀有稀土元素矿物,可形成稀有稀土元素矿床。主要结构成分有颗粒、泥、胶结物、生物骨架和晶粒,次要结构组分有其他化学沉淀物质、有机质等,孔隙是其派生结构组分,这些有机质和孔隙结构组分是页岩气的运移和储集的重要通道。
砂岩是一种沉积岩,主要由各种砂粒胶结而成,砂质沉积物在沉积时形成孔隙,碎屑颗粒、杂基、胶结物等在一定的成岩环境中发生不同程度的溶解作用也形成了砂岩中的孔隙,这些孔隙结构是页岩气的储集和运移的通道。
为研究上述碳酸岩和砂岩吸附性能和孔隙结构特征,采用岩心专用样品管在BK400物理吸附仪上进行低温氮吸附测试。
测试结果
碳酸岩测试结果
碳酸岩样品进行低温氮吸附测试后的等温线见下图1,等温线类型为类Ⅲ型等温线,由于吸附质与吸附剂表面相互作用力较弱,所以在低压区吸附量较小且向下凸向X轴,吸附量随相对压力的增加而增大,有较小的滞后环,接近饱和蒸汽压时发生类似大孔的吸附等温线迅速上升。3次重复性测试表明测试结果重复很好;

图1 碳酸岩等温线
碳酸岩BET比表面积、孔容积和平均孔直径结果见下表1所示,通过极差可知,碳酸岩样品BET极差结果在0.002以下。
表1 碳酸岩样品重复性测试结果

砂岩测试结果
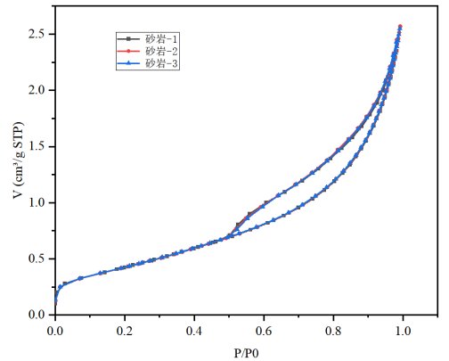
对砂岩样品进行低温氮吸附测试,等温线见下图2,等温线类型为Ⅳ型等温线,在低P/P0区曲线凸向上,相对压力在约为0.5时吸附质发生毛细凝聚,等温线迅速上升,脱附等温线与吸附等温线不重合且位于吸附等温线的上方产生吸附滞后环,接近饱和蒸汽压时发生类似大孔的吸附等温线迅速上升。经过3次等温线测试表明砂岩测试结果重复很好;

图2 砂岩等温线
滞后环是由于吸附亚稳态和网状分子结构的影响,吸附未达到热力学平衡造成凝聚延迟,脱附路径则取决于复杂的孔道结构、孔道阻塞以网络效应。砂岩为H3型吸附滞后环,存在介孔,见下图3所示其BJH孔径分布图,最可几孔径为10.43 nm。

图3 砂岩BJH吸脱附孔径分布报告图
砂岩存在的纳米介孔增强了砂岩的吸附能力,相比碳酸岩其吸附量增大,通过计算砂岩BET比表面积值为1.6m2/g,大于碳酸岩的比表面积值,孔容积与碳酸岩相比大一个数量级。砂岩样品3次测试见下表2所示,计算BET极差结果小于0.01。
表2 砂岩样品重复性测试结果

结 论
通过上述实验的测试结果可知:采用岩心专用样品管可满足尺寸在直径25 mm,长度100 mm以内的岩心测试,且BET测试的重复性极差小于0.01。
参考文献
[1] Zhu H Q, Jia A L, Wei Y S, et al. Pore structure and supercritical methane sorption capacity of organic-rich shales in southern Sichuan Basin[J]. Acta Petrolei Sinica, 2018, 39(4): 391-401.
[2]杨晓勇,章雨旭,郑永飞等. 白云鄂博赋矿白云岩与微晶丘和碳酸岩墙的碳氧同位素对比研究.《地质学报》,2000
[3]河海大学《水利大辞典》编辑修订委员会.《水利大辞典》 .上海.上海辞书出版社.2015
