原液高浓度Zeta电位分析仪用于化学机械抛光(CMP)过程中颗粒电荷对材料去除率影响的检测
在宏观尺度长度下,抛光过程中的材料去除率(dh/dt)被普雷斯顿方程描述为:dh/dt=kpσoVr,其中kp是普雷斯顿系数,σo是施加的压力,Vr是抛光颗粒相对于工件表面的平均速度。然而,光学抛光过程涉及工件、浆料和搭接之间在多个尺度长度上的一系列复杂的相互作用。因此,普雷斯顿系数代表了众多抛光参数的集合,包括工件材料、浆料颗粒组成、浆料粒度分布(PSD)、浆料化学、焊盘形貌和焊盘机械性能。这些相互作用及其对工件光学性能的影响一直是化学机械平面化(CMP)和光学制造工艺的一个研究领域。
抛开这些参数和相互作用不谈,宏观材料去除率和表面粗糙度基本上与单个浆料颗粒去除的材料量有关。图1说明了在抛光过程中可能发生的各种单颗粒去除机制,包括化学溶解、纳米塑料去除和化学反应。目前已经提出的各种去除机制,其效果或特征主要属于图1所示的类别。由于化学溶解本身不能提供控制工件形状的手段,通常并不这样做。因此,抛光通常由纳米塑料或化学反应去除机制决定。

图1磨削和抛光过程中工件表面的各种去除机制。
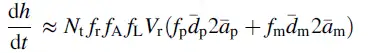
基于各种去除机制,目前已经提出了许多微观模型来描述宏观材料速率,例如利用接触力学温度和非牛顿浆料流动。在这里,我们利用最近制定的普雷斯顿材料去除率方程的微观形式来说明隔离控制材料去除的各种因素的策略。该模型被称为集成赫兹多间隙(EHMG)模型,基于赫兹力学,该模型考虑了工件-搭接界面处每个单个粒子通过纳米塑料或化学反应的去除。使用该公式,去除率方程表示为:

其中,Nt是工件-焊盘界面处颗粒的面数密度,fr是PSD中活性颗粒的分数,fA是与工件接触的焊盘面积的分数,fL是颗粒所承受的施加载荷的分数,fp是导致纳米塑性去除的活性颗粒的分率,dp是纳米塑性机制的平均去除深度,ap是导致纳米塑料去除的颗粒的平均接触区半径,fm是导致化学反应的活性颗粒的分数,dm是与化学反应相关的平均去除深度,am是导致化学化学反应的颗粒的均匀接触区半径。如果抛光由纳米塑料机制主导,括号内的第一项将占主导地位;类似地,如果去除是由化学反应机制主导的,括号中的第二项将占主导地位。Nt fr fA fL表示与工件-搭接界面上粒子集合相关的接触力学。之前的实验数据表明,这一公式受到诸如浆料PSD和浓度、垫块的机械和地形特性以及施加压力等因素的定量影响。
对于化学反应去除机制,最近提出了被广泛接受的反应途径,其中玻璃氧化物工件和浆料颗粒之间先发生缩合反应,然后是近表面工件的水解反应。在一般形式下,这些反应由下式给出:

其中Mwp是工件的金属原子(例如,Si表示SiO2,Al表示Al2O3),Mp是抛光颗粒的金属原子,例如,Ce表示CeO2。注意在水解键断裂步骤中,提出了相对键强影响是否从工件、界面键或颗粒上发生去除。Hos-hino等人后来提出,水解步骤可能涉及去除二氧化硅簇,模糊了纳米塑料去除和化学去除之间的界限。
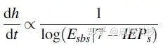
Cook还提出,材料去除率由浆液颗粒通过凝结与工件表面部分结合的速率决定。此外,Cook认为这种凝结反应的速率与抛光粒子的等电点(IEP)有关。对于抛光硅酸盐玻璃的具体情况,当抛光浆颗粒的等电点(IEP)为7时,使用不同抛光浆化合物的相对材料去除率最大,例如CeO2。浆料颗粒的iep值越低或越高,去除率越低。经验上,影响物料去除率的反应速率因子描述为:

其中Esbs为单键强度,IEPs为浆料颗粒的等电点。后来,Osseo提出,可以通过调节浆液pH值来优化各种抛光化合物的材料去除率。
此外,有人提出当工件表面电荷为净负电荷,而颗粒表面电荷基本为中性时,缩合反应速率反应更有利。对于用CeO2 (IEP = 7)抛光(IEP = 2)的硅玻璃,料浆pH = 7的具体情况,式(3)的缩合反应为:

然而,从胶体稳定性的角度来看,将浆料保持在其IEP附近会导致团聚,通常会导致有害影响,例如刮擦或抛光工件的粗糙度增加。溶胶-凝胶科学文献中可以找到更大的净表面电荷导致冷凝速率提高的进一步证据。例如,对于硅醇氧化合物,当pH值高于或低于SiO2的IEP (IEP = 2)时,凝结速率(测量为凝胶时间的倒数)急剧增加,在那里它将有一个增加的净表面电荷(或负或正)。
由胤煌科技推出的原液/高浓度粒度及Zeta电位分析仪:Zeta-APS可满足浆料及Zeta电位的测量,仪器采用超声电声法原理,具有:原液检测、无需稀释;同时检测pH、温度、电导率等参数的测量;可同时测量同一样品的粒度分布(PSD)和Zeta电位;自动电位滴定和容量滴定,用于最简单和最快速度的IEP等技术优势。

胤煌科技(YinHuang Technology)是一家专注于为医药、半导体及化工材料等行业提供检测分析设备及技术服务的高科技公司,致力于为客户提供全面、准确的检测分析和解决方案。主营产品包括不溶性微粒分析仪,可见异物检查分析仪,原液粒度及Zeta电位分析仪,CHDF高精度纳米粒度仪,高分辨纳米粒度仪,溶液颜色测定仪,澄清度测定仪等,公司自主研发的YH-MIP系列显微计数法不溶性微粒仪、YH-FIPS系列流式动态图像法粒度仪,YH-FIPS系列微流成像颗粒分析仪已经在生物医药、半导体及材料化工领域得到广泛应用。