IUPAC
国际纯粹与应用化学联合会
IUPAC:International Union of Pure and Applied Chemistry (IUPAC) 国际纯粹与应用化学联合会,又译 国际理论(化学)与应用化学联合会, 是一个致力于促进化学相关的非政府组织,也是各国化学会的一个联合组织。以公认的化学命名权威著称。命名及符号分支委员会每年都会修改IUPAC命名法,以力求提供化合物命名的准确规则。IUPAC 也是国际科学理事会的会员之一。

BET
比表面积
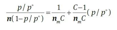
1. IUPAC有BET使用方法的详细介绍,关于不同样品的选点范围,计算比表面积的方法BET公式的运用方法及条件,详细请看本公众号系列文章“BET方法介绍”:

2.对于微孔材料表征,除了77K氮气吸附之外,推荐使用87K氩气吸附,以及273K的二氧化碳吸附。
87K氩气吸附时:
Ar分子是球形分子,且四级矩为0,吸附时的分子截面积是稳定的。
N2分子是棒状分子,具有四级矩,吸附时的分子截面积不确定。

沸石分子筛分别氮气和氩气吸附曲线
M. Thommes, K.A. Cychosz, Adsorption (2014) 20, 233-250
M. Thommes in Introduction to Zeolite Science and Practice (2007) 495-523
3. 273K二氧化碳吸附可以提供低压段微孔孔径分布结果,作为氮气/氩气吸附曲线低压段比较难测试的补充。

CO2吸附和氮气/氩气吸附曲线结合