|
|||||||||||||||||||||
详细说明
品牌:
凯新生物
CAS号:
1450754-37-6
分子式:
C8H10N2O2
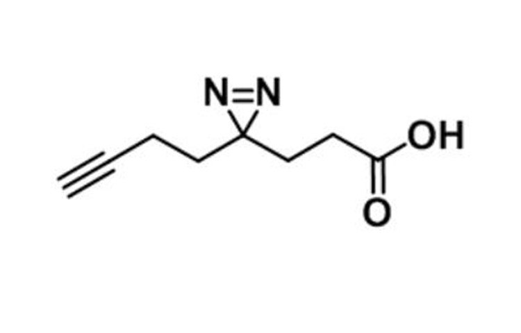
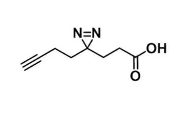
产品名称:
Alkyne-Diazirine-COOH
产品类型:
基准试剂
产品规格:
1g 5g 10g
有效成分含量:
95%
是否进口:
否
用途范围:
仅用于科研实验,非人用,非食用
包装规格:
0.001kg
等级:
分析纯AR

Alkyne-Diazirine-COOH,可用于药物靶标识别,一般优势体现在反应活性高,位阻小,稳定性好,连接方便,结构灵活等几个方面。




点赞 0举报收藏 0




